mp-571594-2/K3AgSn3Se8/anharm

Equation of state

../../_images/fig_bm3579.png

(a) Equation of state

Harmonic properties

../../_images/fig_bandos_pr6679.png

(a) Phonon dispersion with participation ratio and DOS

../../_images/fig_thermo6679.png

(b) Thermodynamic properties

Grüneisen parameters

../../_images/fig_gru_all2722.png

(a) Grüneisen parameters

../../_images/fig_gruneisen2722.png

(b) Phonon dispersion with Grüneisen parameters

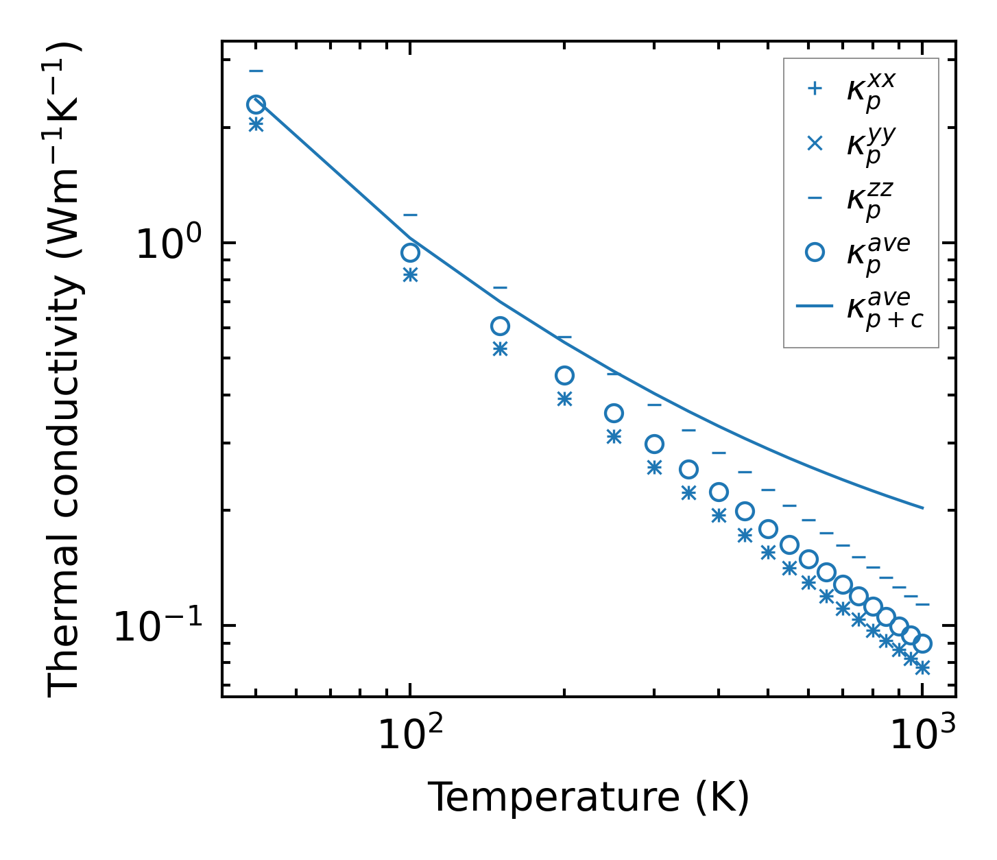
Thermal conductivity

3-phonon (LASSO) — q-mesh: 8x8x5, supercell: 2x2x1

../../_images/fig_kappa5174.png

(a) Temperature-dependent lattice thermal conductivity

../../_images/fig_kappa_vs_grain_size2762.png

(b) Peierls lattice thermal conductivity w.r.t grain size

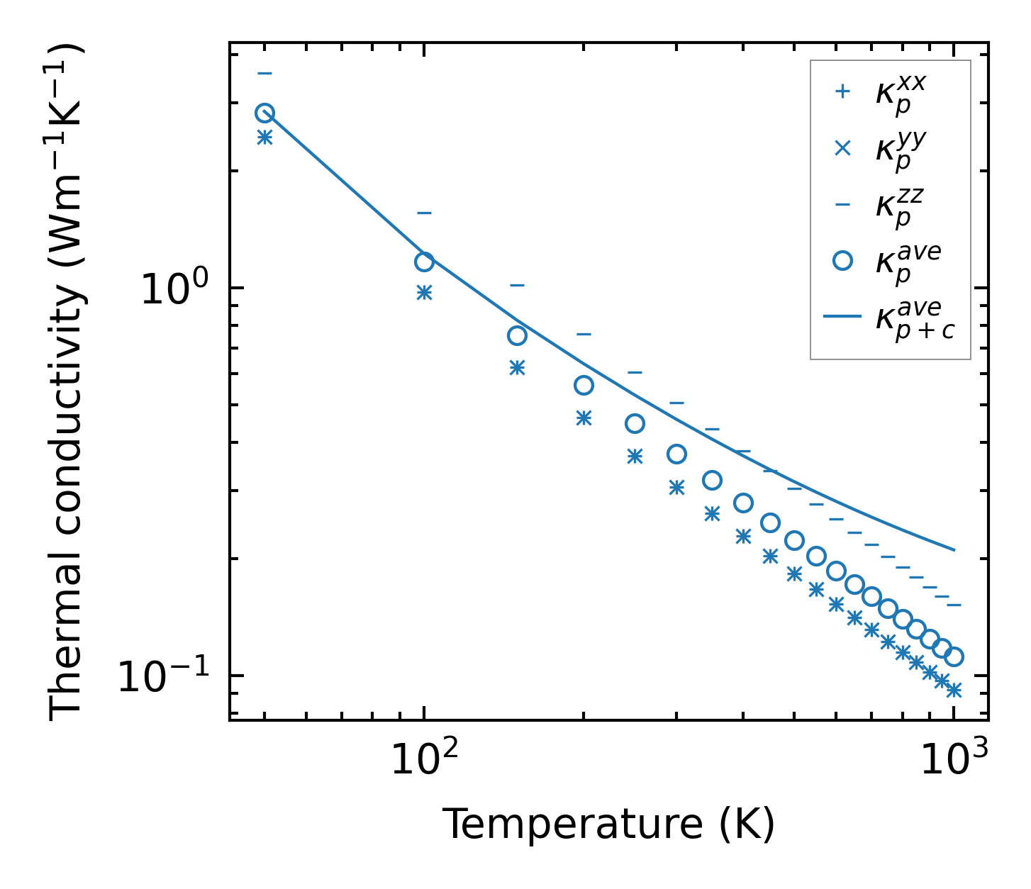
3-phonon (LASSO), supercell 2x2x2 — q-mesh: 8x8x5, supercell: 2x2x2

../../_images/fig_kappa5175.png

(a) Temperature-dependent lattice thermal conductivity

../../_images/fig_kappa_vs_grain_size2763.png

(b) Peierls lattice thermal conductivity w.r.t grain size

Phonon lifetime and scattering rates

../../_images/fig_lifetime2698.png

(a) Phonon lifetime due to phonon-phonon scattering

../../_images/fig_scat_rates2697.png

(b) Phonon scattering rates

Cumulative and spectral thermal conductivity

../../_images/fig_cumu_frequency2698.png

(a) Spectral and cumulative thermal conductivity w.r.t frequency

../../_images/fig_cumu_mfp2697.png

(b) Spectral and cumulative thermal conductivity w.r.t MFP

Force constants

../../_images/fig_fc26469.png

(a) Force constants w.r.t atomic distance

Summary

../../_images/fig_kappa5176.png

(a) Temperature-dependent lattice thermal conductivity

../../_images/fig_times11982.png

(b) Computation time