mp-571061-2/Nb3Se10Cl3/anharm

Equation of state

../../_images/fig_bm3689.png

(a) Equation of state

Harmonic properties

../../_images/fig_bandos_pr6895.png

(a) Phonon dispersion with participation ratio and DOS

../../_images/fig_bandos9879.png

(b) Phonon dispersion and DOS

../../_images/fig_thermo6895.png

(c) Thermodynamic properties

Grüneisen parameters

../../_images/fig_gru_all2848.png

(a) Grüneisen parameters

../../_images/fig_gruneisen2848.png

(b) Phonon dispersion with Grüneisen parameters

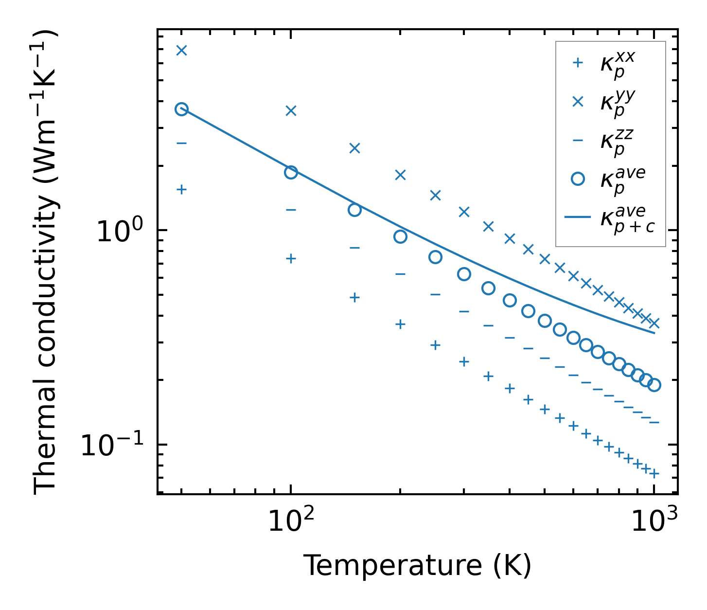
Thermal conductivity

3-phonon (LASSO), supercell 2x1x2 — q-mesh: 9x3x6, supercell: 2x1x2

../../_images/fig_kappa5405.png

(a) Temperature-dependent lattice thermal conductivity

../../_images/fig_kappa_vs_grain_size2889.png

(b) Peierls lattice thermal conductivity w.r.t grain size

Phonon lifetime and scattering rates

../../_images/fig_lifetime2824.png

(a) Phonon lifetime due to phonon-phonon scattering

../../_images/fig_scat_rates2823.png

(b) Phonon scattering rates

Cumulative and spectral thermal conductivity

../../_images/fig_cumu_frequency2824.png

(a) Spectral and cumulative thermal conductivity w.r.t frequency

../../_images/fig_cumu_mfp2823.png

(b) Spectral and cumulative thermal conductivity w.r.t MFP

Force constants

../../_images/fig_fc26676.png

(a) Force constants w.r.t atomic distance

Summary

../../_images/fig_times12367.png

(a) Computation time