mp-571653/C3N4/anharm

Harmonic properties

../../_images/fig_bandos_pr6685.png

(a) Phonon dispersion with participation ratio and DOS

../../_images/fig_thermo6685.png

(b) Thermodynamic properties

Grüneisen parameters

../../_images/fig_gru_all2728.png

(a) Grüneisen parameters

../../_images/fig_gruneisen2728.png

(b) Phonon dispersion with Grüneisen parameters

Thermal conductivity

3-phonon (LASSO) — q-mesh: 20x20x20, supercell: 2x2x2

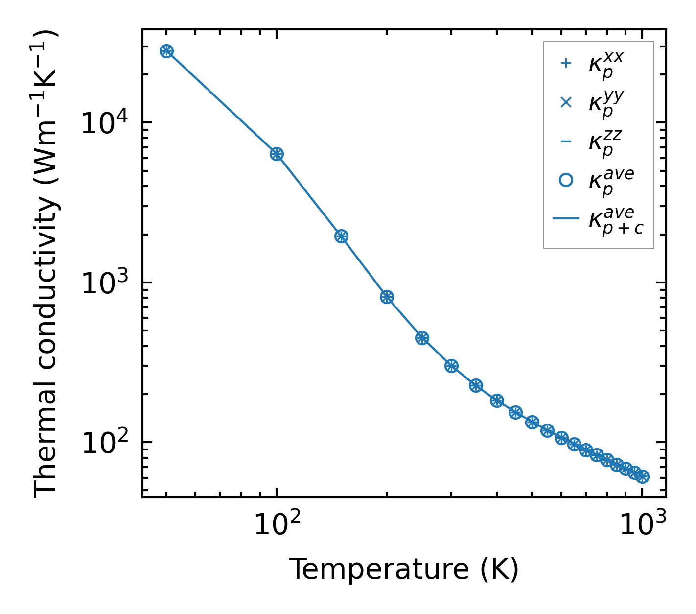
../../_images/fig_kappa5186.png

(a) Temperature-dependent lattice thermal conductivity

../../_images/fig_kappa_vs_grain_size2769.png

(b) Peierls lattice thermal conductivity w.r.t grain size

Phonon lifetime and scattering rates

../../_images/fig_lifetime2704.png

(a) Phonon lifetime due to phonon-phonon scattering

../../_images/fig_scat_rates2703.png

(b) Phonon scattering rates

Cumulative and spectral thermal conductivity

../../_images/fig_cumu_frequency2704.png

(a) Spectral and cumulative thermal conductivity w.r.t frequency

../../_images/fig_cumu_mfp2703.png

(b) Spectral and cumulative thermal conductivity w.r.t MFP

Force constants

../../_images/fig_fc26475.png

(a) Force constants w.r.t atomic distance

Summary

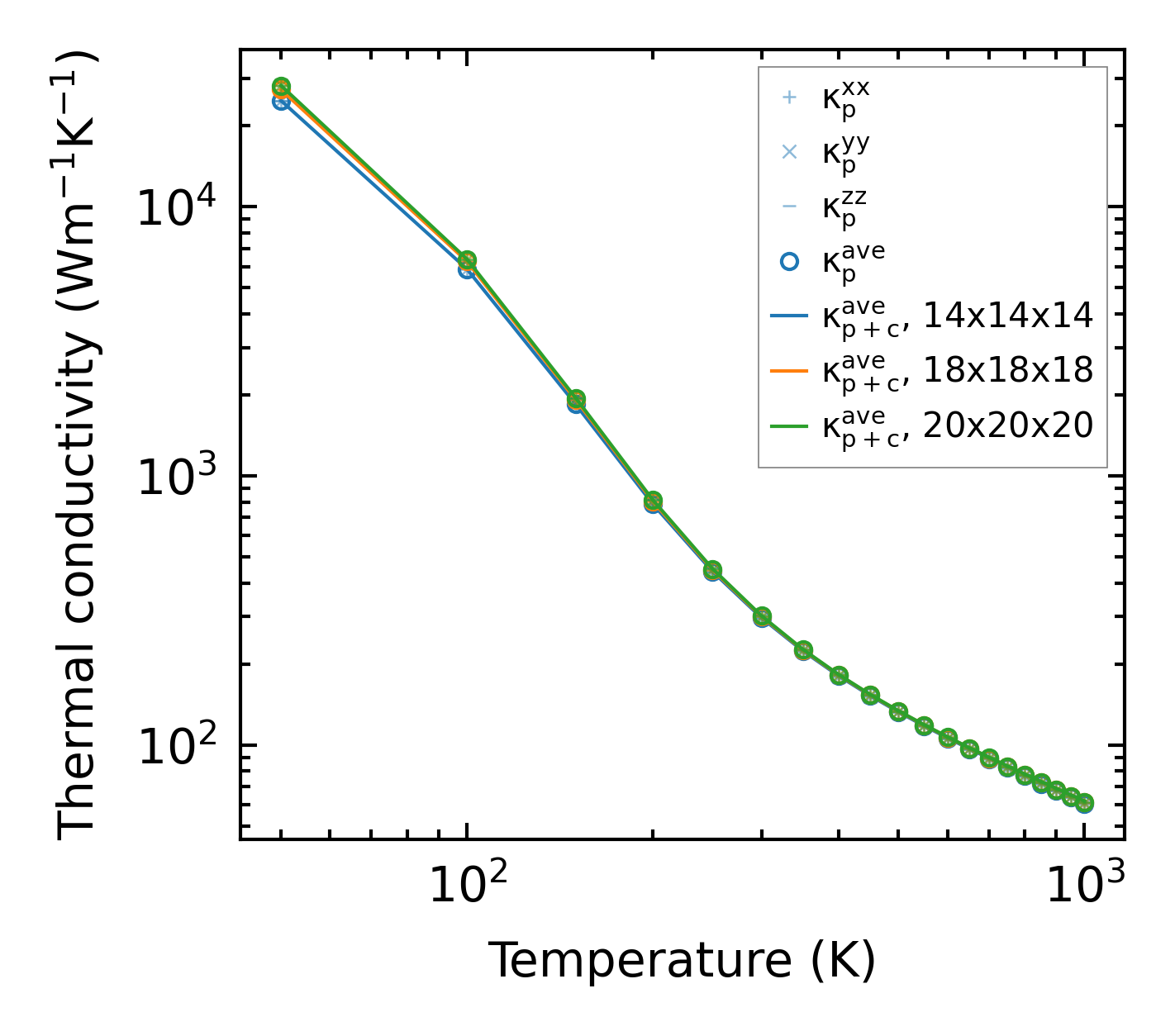
../../_images/fig_kappa5187.png

(a) Temperature-dependent lattice thermal conductivity

../../_images/fig_times11992.png

(b) Computation time