mp-571219-2/Tl3BiI6/anharm

Equation of state

../../_images/fig_bm3703.png

(a) Equation of state

Harmonic properties

../../_images/fig_bandos_pr6913.png

(a) Phonon dispersion with participation ratio and DOS

../../_images/fig_thermo6913.png

(b) Thermodynamic properties

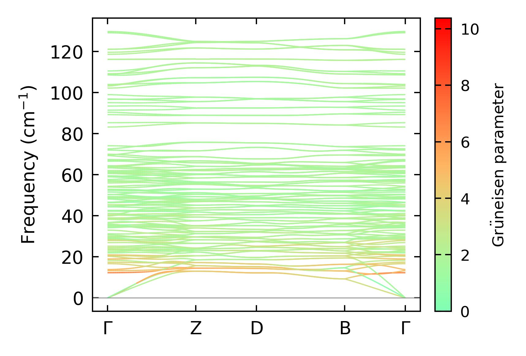
Grüneisen parameters

../../_images/fig_gru_all2858.png

(a) Grüneisen parameters

../../_images/fig_gruneisen2858.png

(b) Phonon dispersion with Grüneisen parameters

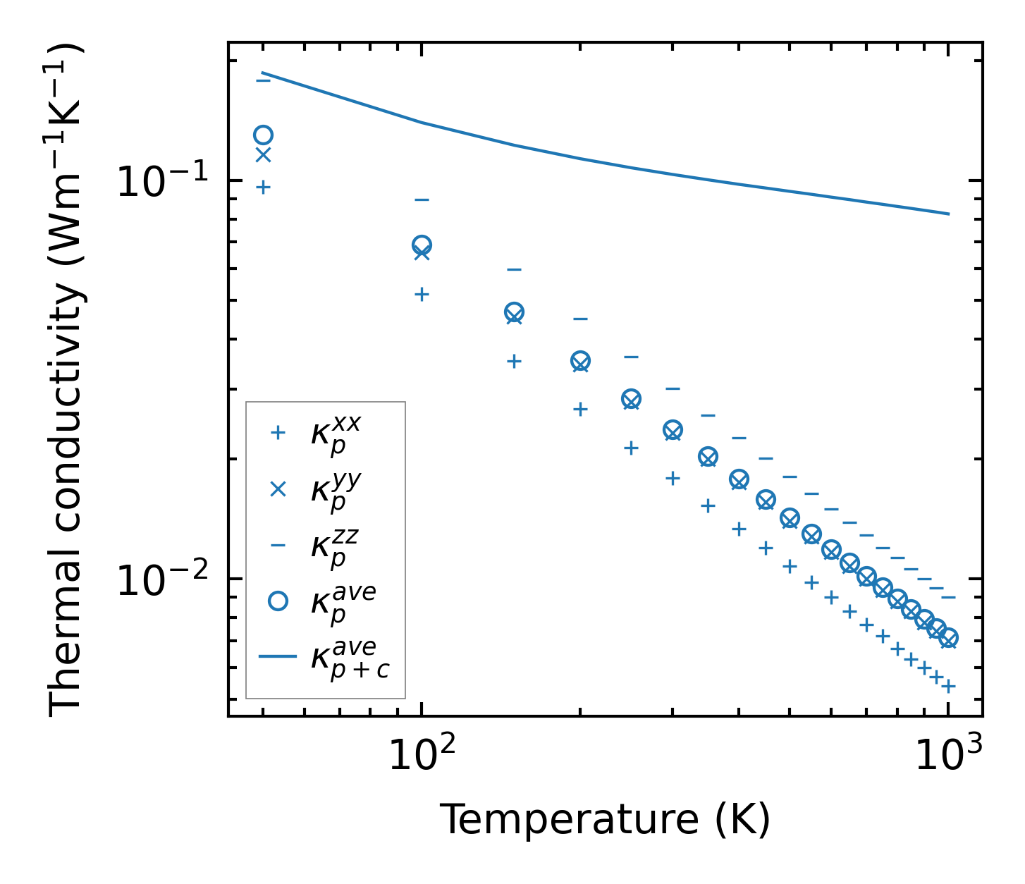
Thermal conductivity

3-phonon (LASSO) — q-mesh: 5x8x5, supercell: 1x2x1

../../_images/fig_kappa5424.png

(a) Temperature-dependent lattice thermal conductivity

../../_images/fig_kappa_vs_grain_size2900.png

(b) Peierls lattice thermal conductivity w.r.t grain size

Phonon lifetime and scattering rates

../../_images/fig_lifetime2834.png

(a) Phonon lifetime due to phonon-phonon scattering

../../_images/fig_scat_rates2833.png

(b) Phonon scattering rates

Cumulative and spectral thermal conductivity

../../_images/fig_cumu_frequency2834.png

(a) Spectral and cumulative thermal conductivity w.r.t frequency

../../_images/fig_cumu_mfp2833.png

(b) Spectral and cumulative thermal conductivity w.r.t MFP

Force constants

../../_images/fig_fc26693.png

(a) Force constants w.r.t atomic distance

Summary

../../_images/fig_kappa5425.png

(a) Temperature-dependent lattice thermal conductivity

../../_images/fig_times12406.png

(b) Computation time