mp-571279/ZrI2/anharm

Harmonic properties

../../_images/fig_bandos_pr6919.png

(a) Phonon dispersion with participation ratio and DOS

../../_images/fig_thermo6919.png

(b) Thermodynamic properties

Grüneisen parameters

../../_images/fig_gru_all2864.png

(a) Grüneisen parameters

../../_images/fig_gruneisen2864.png

(b) Phonon dispersion with Grüneisen parameters

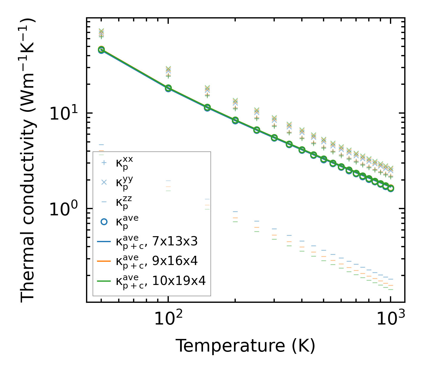
Thermal conductivity

3-phonon (LASSO) — q-mesh: 10x19x4, supercell: 3x4x1

../../_images/fig_kappa5436.png

(a) Temperature-dependent lattice thermal conductivity

../../_images/fig_kappa_vs_grain_size2906.png

(b) Peierls lattice thermal conductivity w.r.t grain size

Phonon lifetime and scattering rates

../../_images/fig_lifetime2840.png

(a) Phonon lifetime due to phonon-phonon scattering

../../_images/fig_scat_rates2839.png

(b) Phonon scattering rates

Cumulative and spectral thermal conductivity

../../_images/fig_cumu_frequency2840.png

(a) Spectral and cumulative thermal conductivity w.r.t frequency

../../_images/fig_cumu_mfp2839.png

(b) Spectral and cumulative thermal conductivity w.r.t MFP

Force constants

../../_images/fig_fc26698.png

(a) Force constants w.r.t atomic distance

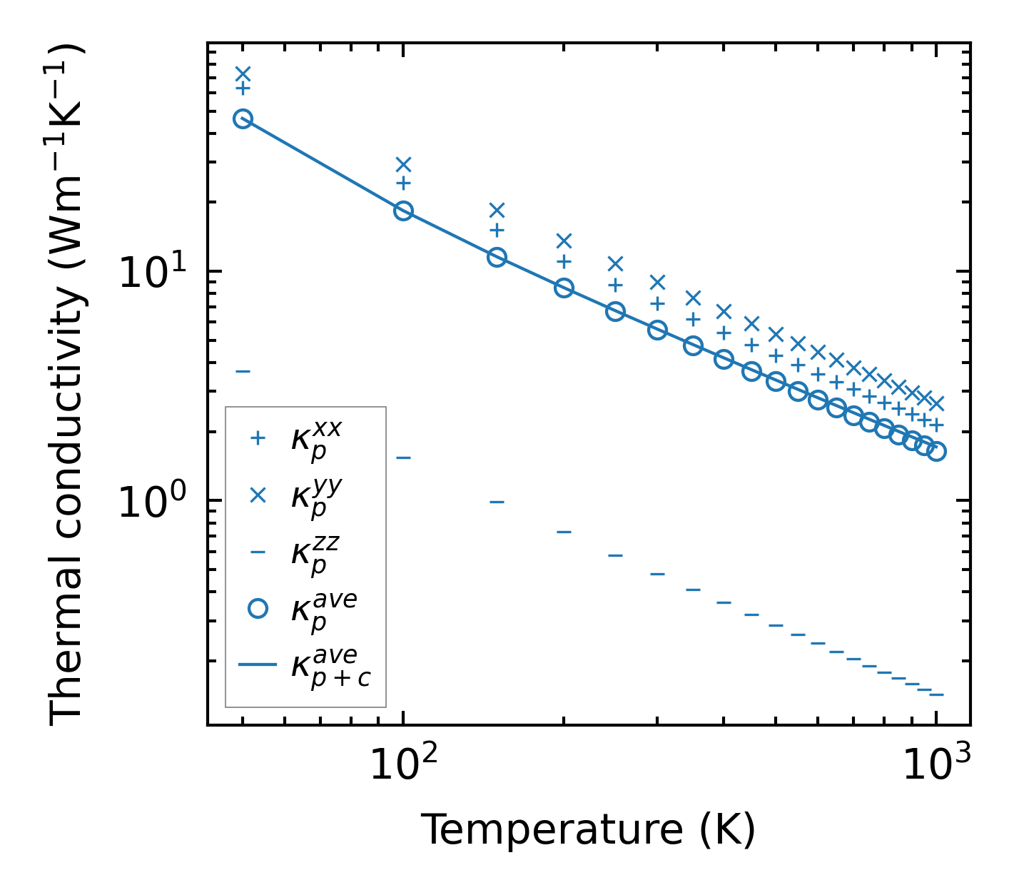
Summary

../../_images/fig_kappa5437.png

(a) Temperature-dependent lattice thermal conductivity

../../_images/fig_times12417.png

(b) Computation time