mp-571490/Pr3CCl5/anharm

Harmonic properties

../../_images/fig_bandos_pr6671.png

(a) Phonon dispersion with participation ratio and DOS

../../_images/fig_thermo6671.png

(b) Thermodynamic properties

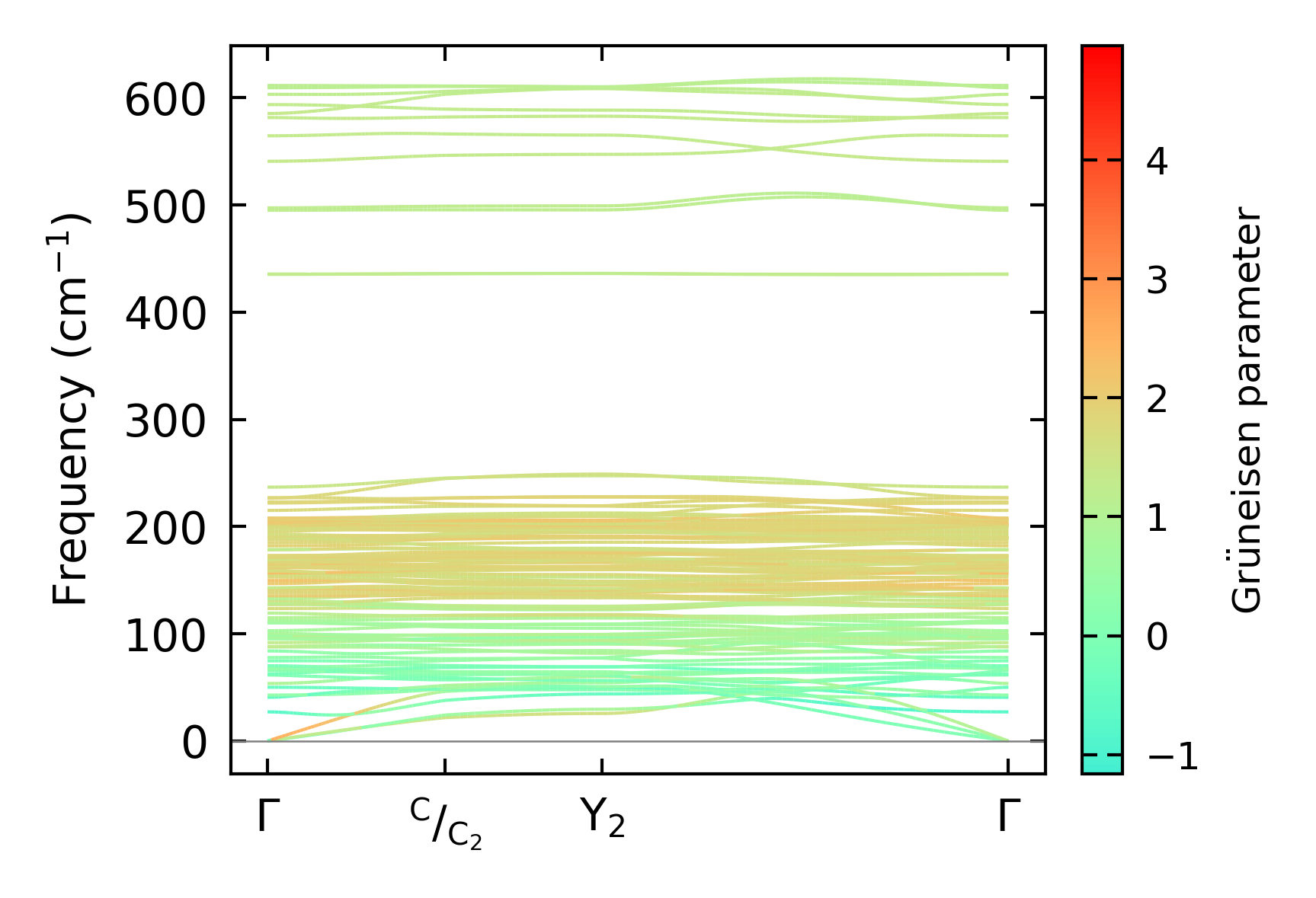
Grüneisen parameters

../../_images/fig_gru_all2719.png

(a) Grüneisen parameters

../../_images/fig_gruneisen2719.png

(b) Phonon dispersion with Grüneisen parameters

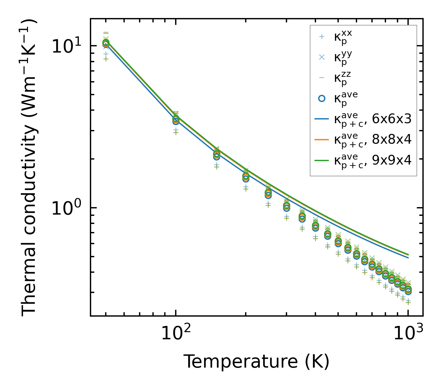
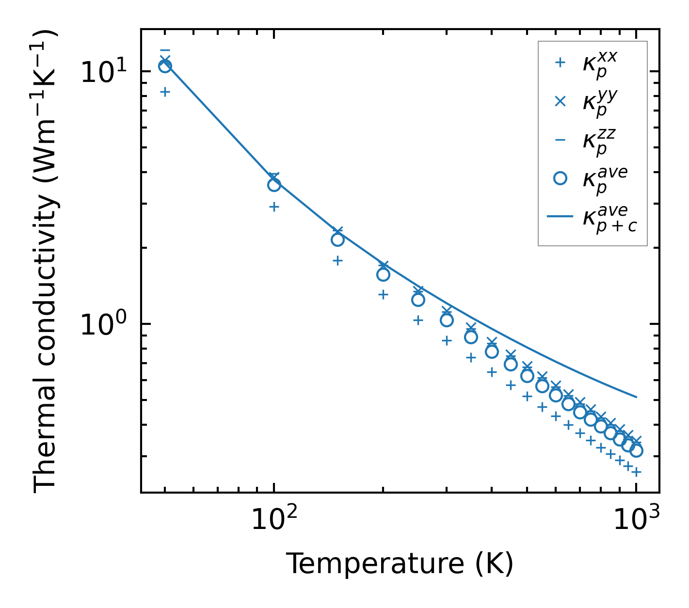
Thermal conductivity

3-phonon (LASSO) — q-mesh: 9x9x4, supercell: 1x2x1

../../_images/fig_kappa5169.png

(a) Temperature-dependent lattice thermal conductivity

../../_images/fig_kappa_vs_grain_size2759.png

(b) Peierls lattice thermal conductivity w.r.t grain size

Phonon lifetime and scattering rates

../../_images/fig_lifetime2695.png

(a) Phonon lifetime due to phonon-phonon scattering

../../_images/fig_scat_rates2694.png

(b) Phonon scattering rates

Cumulative and spectral thermal conductivity

../../_images/fig_cumu_frequency2695.png

(a) Spectral and cumulative thermal conductivity w.r.t frequency

../../_images/fig_cumu_mfp2694.png

(b) Spectral and cumulative thermal conductivity w.r.t MFP

Force constants

../../_images/fig_fc26461.png

(a) Force constants w.r.t atomic distance

Summary

../../_images/fig_kappa5170.png

(a) Temperature-dependent lattice thermal conductivity

../../_images/fig_times11949.png

(b) Computation time