mp-571341/InHg6As4Cl7/anharm

Harmonic properties

../../_images/fig_bandos_pr6932.png

(a) Phonon dispersion with participation ratio and DOS

../../_images/fig_thermo6932.png

(b) Thermodynamic properties

Grüneisen parameters

../../_images/fig_gru_all2870.png

(a) Grüneisen parameters

../../_images/fig_gruneisen2870.png

(b) Phonon dispersion with Grüneisen parameters

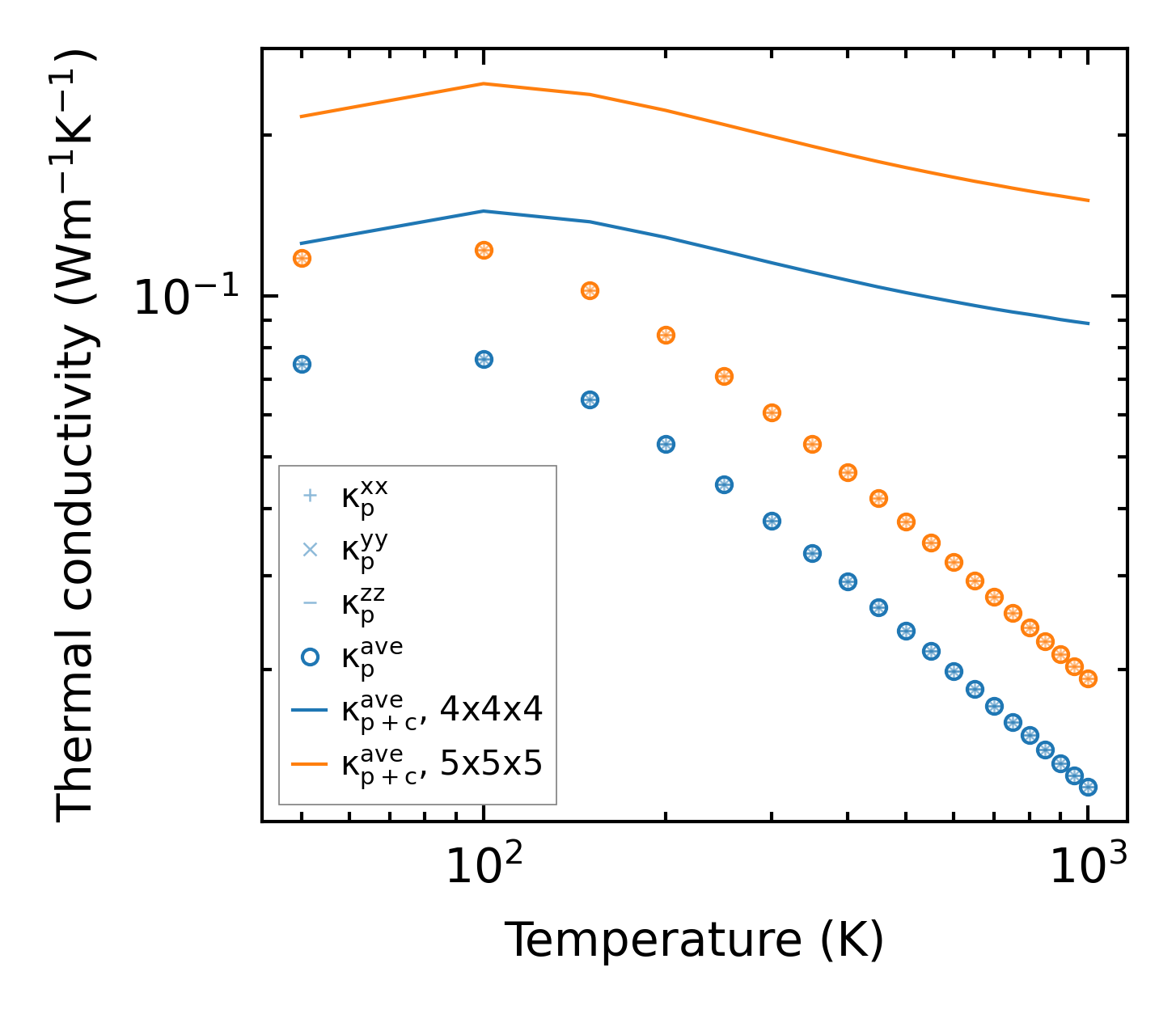
Thermal conductivity

3-phonon (LASSO) — q-mesh: 5x5x5, supercell: 1x1x1

../../_images/fig_kappa5448.png

(a) Temperature-dependent lattice thermal conductivity

../../_images/fig_kappa_vs_grain_size2912.png

(b) Peierls lattice thermal conductivity w.r.t grain size

Phonon lifetime and scattering rates

../../_images/fig_lifetime2846.png

(a) Phonon lifetime due to phonon-phonon scattering

../../_images/fig_scat_rates2845.png

(b) Phonon scattering rates

Cumulative and spectral thermal conductivity

../../_images/fig_cumu_frequency2846.png

(a) Spectral and cumulative thermal conductivity w.r.t frequency

../../_images/fig_cumu_mfp2845.png

(b) Spectral and cumulative thermal conductivity w.r.t MFP

Force constants

../../_images/fig_fc26711.png

(a) Force constants w.r.t atomic distance

Summary

../../_images/fig_kappa5449.png

(a) Temperature-dependent lattice thermal conductivity

../../_images/fig_times12430.png

(b) Computation time