mp-571465-2/PbIBr/anharm

Equation of state

../../_images/fig_bm3559.png

(a) Equation of state

Harmonic properties

../../_images/fig_bandos_pr6662.png

(a) Phonon dispersion with participation ratio and DOS

../../_images/fig_bandos9560.png

(b) Phonon dispersion and DOS

../../_images/fig_thermo6662.png

(c) Thermodynamic properties

Grüneisen parameters

../../_images/fig_gru_all2715.png

(a) Grüneisen parameters

../../_images/fig_gruneisen2715.png

(b) Phonon dispersion with Grüneisen parameters

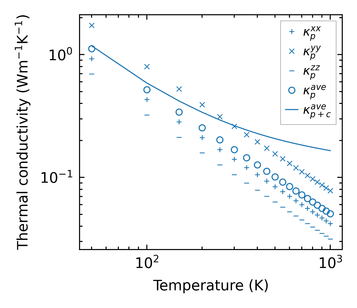
Thermal conductivity

3-phonon (LASSO) — q-mesh: 8x16x6, supercell: 2x3x2

../../_images/fig_kappa5161.png

(a) Temperature-dependent lattice thermal conductivity

../../_images/fig_kappa_vs_grain_size2754.png

(b) Peierls lattice thermal conductivity w.r.t grain size

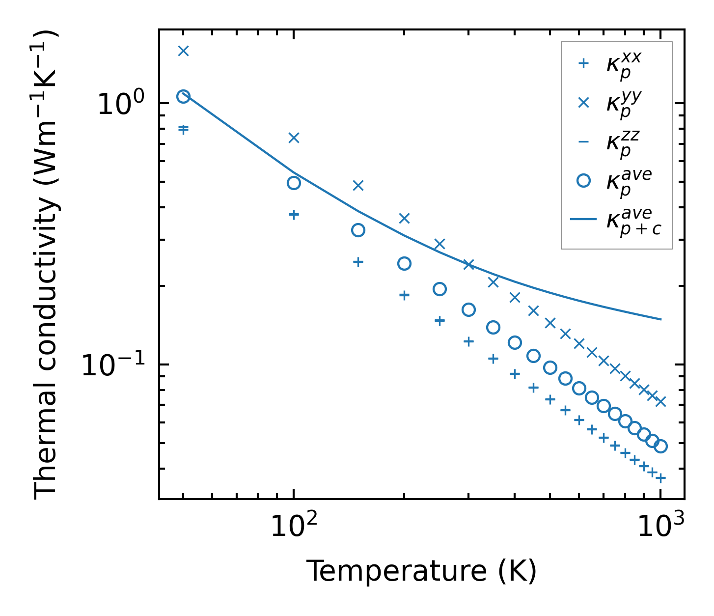
3-phonon (LASSO), supercell 2x4x2 — q-mesh: 8x16x6, supercell: 2x4x2

../../_images/fig_kappa5162.png

(a) Temperature-dependent lattice thermal conductivity

../../_images/fig_kappa_vs_grain_size2755.png

(b) Peierls lattice thermal conductivity w.r.t grain size

Phonon lifetime and scattering rates

../../_images/fig_lifetime2691.png

(a) Phonon lifetime due to phonon-phonon scattering

../../_images/fig_scat_rates2690.png

(b) Phonon scattering rates

Cumulative and spectral thermal conductivity

../../_images/fig_cumu_frequency2691.png

(a) Spectral and cumulative thermal conductivity w.r.t frequency

../../_images/fig_cumu_mfp2690.png

(b) Spectral and cumulative thermal conductivity w.r.t MFP

Force constants

../../_images/fig_fc26452.png

(a) Force constants w.r.t atomic distance

Summary

../../_images/fig_kappa5163.png

(a) Temperature-dependent lattice thermal conductivity

../../_images/fig_times11940.png

(b) Computation time