mp-571390-2/Cs2LiCl3/anharm

Equation of state

../../_images/fig_bm3712.png

(a) Equation of state

Harmonic properties

../../_images/fig_bandos_pr6938.png

(a) Phonon dispersion with participation ratio and DOS

../../_images/fig_thermo6938.png

(b) Thermodynamic properties

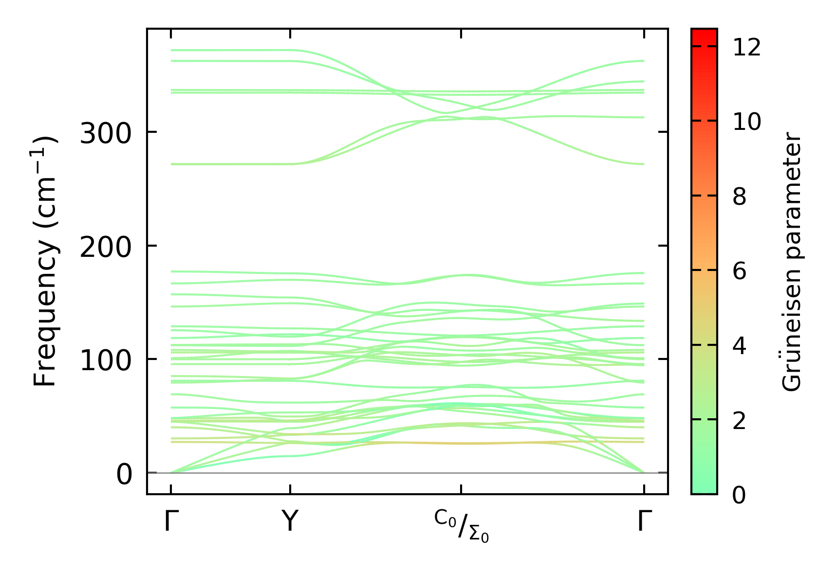
Grüneisen parameters

../../_images/fig_gru_all2873.png

(a) Grüneisen parameters

../../_images/fig_gruneisen2873.png

(b) Phonon dispersion with Grüneisen parameters

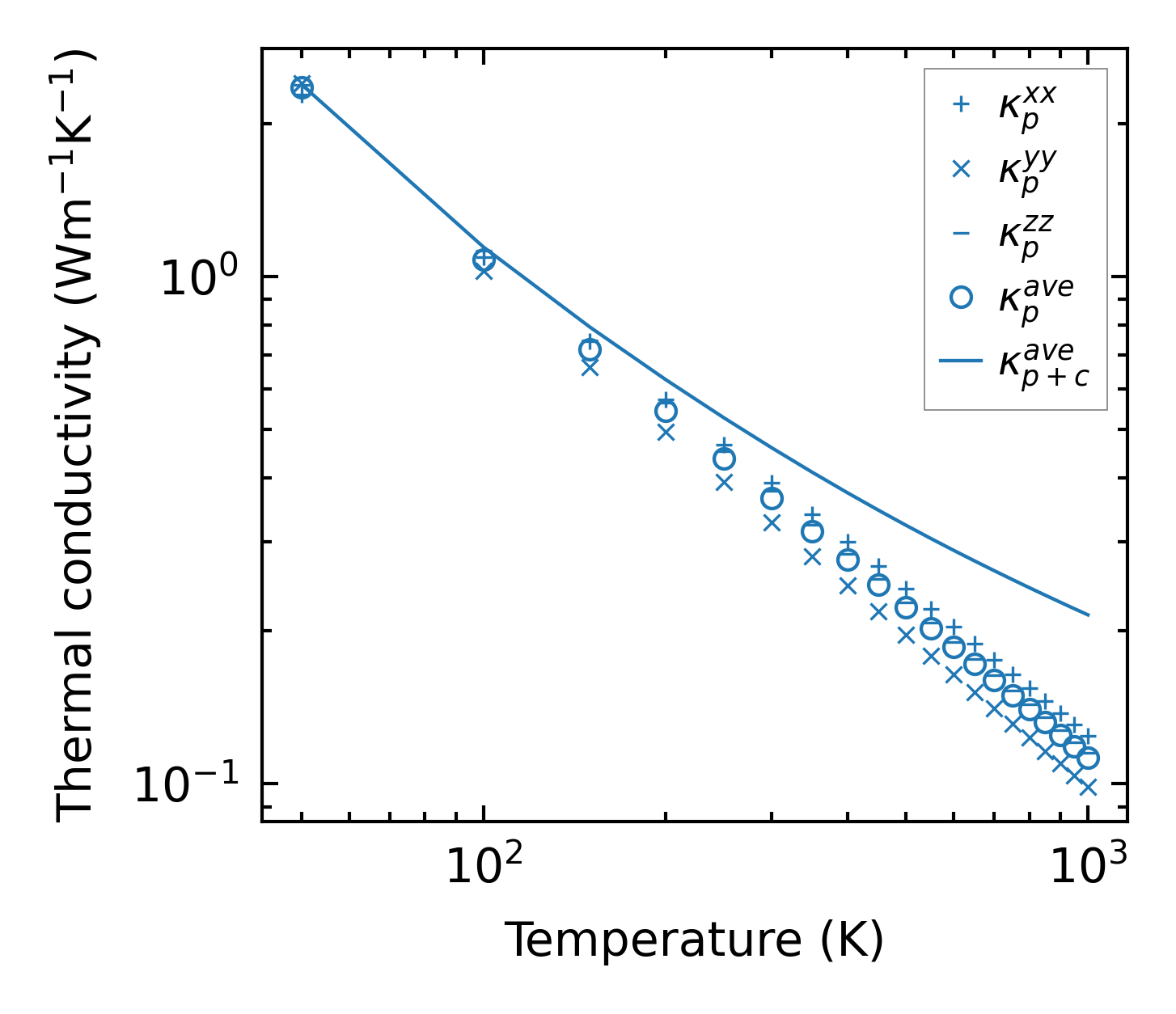
Thermal conductivity

3-phonon (LASSO) — q-mesh: 8x8x13, supercell: 3x1x2

../../_images/fig_kappa5453.png

(a) Temperature-dependent lattice thermal conductivity

../../_images/fig_kappa_vs_grain_size2915.png

(b) Peierls lattice thermal conductivity w.r.t grain size

Phonon lifetime and scattering rates

../../_images/fig_lifetime2849.png

(a) Phonon lifetime due to phonon-phonon scattering

../../_images/fig_scat_rates2848.png

(b) Phonon scattering rates

Cumulative and spectral thermal conductivity

../../_images/fig_cumu_frequency2849.png

(a) Spectral and cumulative thermal conductivity w.r.t frequency

../../_images/fig_cumu_mfp2848.png

(b) Spectral and cumulative thermal conductivity w.r.t MFP

Force constants

../../_images/fig_fc26717.png

(a) Force constants w.r.t atomic distance

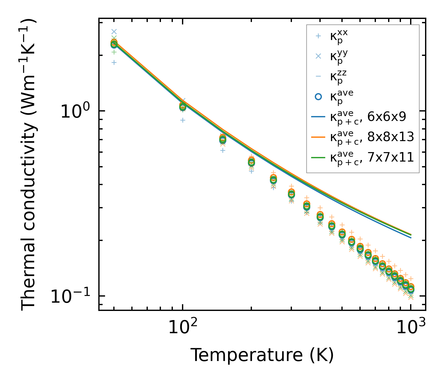
Summary

../../_images/fig_kappa5454.png

(a) Temperature-dependent lattice thermal conductivity

../../_images/fig_times12437.png

(b) Computation time