mp-571240-2/KLa5C2Cl10/anharm

Equation of state

../../_images/fig_bm3706.png

(a) Equation of state

Harmonic properties

../../_images/fig_bandos_pr6918.png

(a) Phonon dispersion with participation ratio and DOS

../../_images/fig_thermo6918.png

(b) Thermodynamic properties

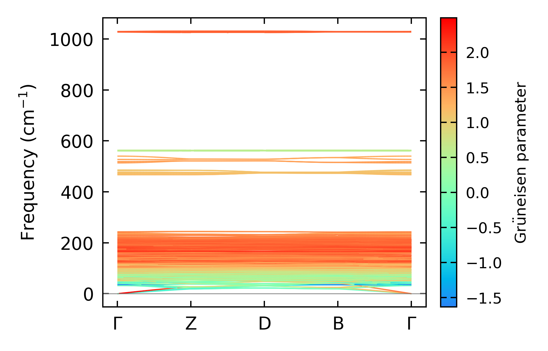
Grüneisen parameters

../../_images/fig_gru_all2863.png

(a) Grüneisen parameters

../../_images/fig_gruneisen2863.png

(b) Phonon dispersion with Grüneisen parameters

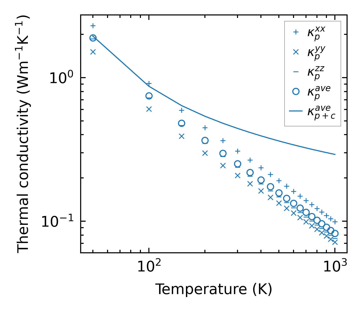
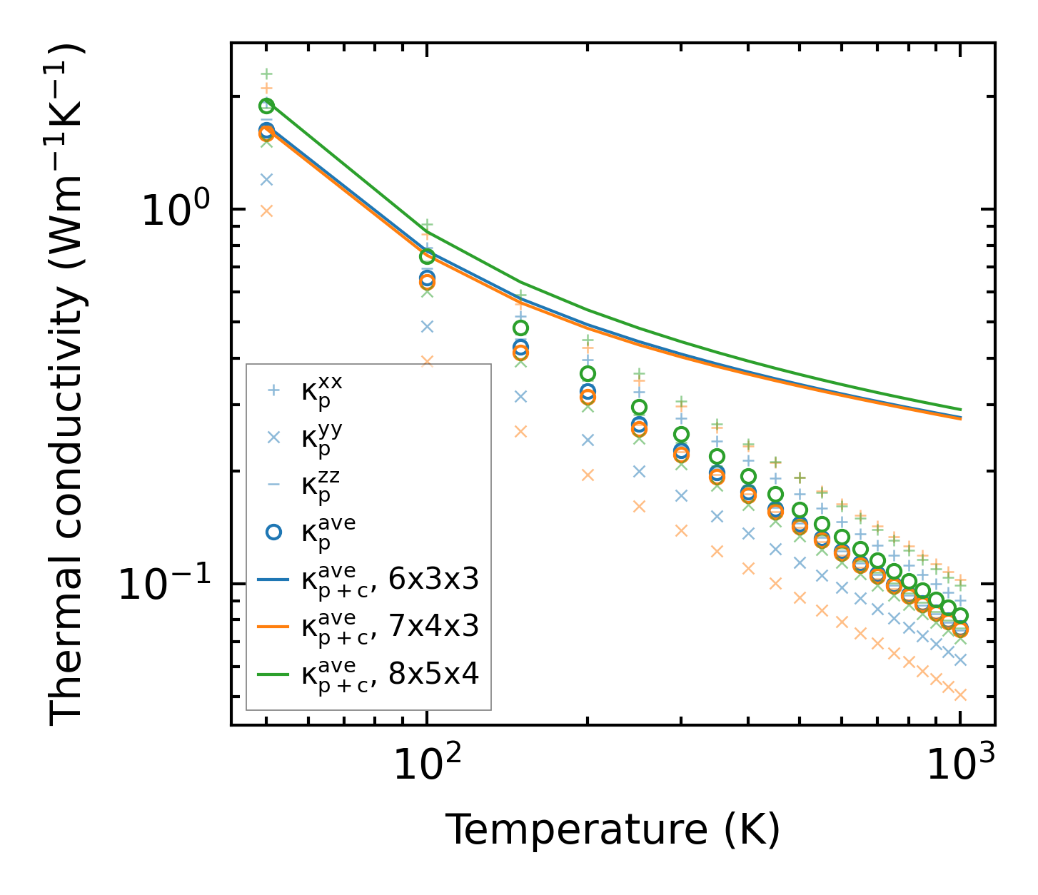
Thermal conductivity

3-phonon (LASSO) — q-mesh: 8x5x4, supercell: 2x1x1

../../_images/fig_kappa5434.png

(a) Temperature-dependent lattice thermal conductivity

../../_images/fig_kappa_vs_grain_size2905.png

(b) Peierls lattice thermal conductivity w.r.t grain size

Phonon lifetime and scattering rates

../../_images/fig_lifetime2839.png

(a) Phonon lifetime due to phonon-phonon scattering

../../_images/fig_scat_rates2838.png

(b) Phonon scattering rates

Cumulative and spectral thermal conductivity

../../_images/fig_cumu_frequency2839.png

(a) Spectral and cumulative thermal conductivity w.r.t frequency

../../_images/fig_cumu_mfp2838.png

(b) Spectral and cumulative thermal conductivity w.r.t MFP

Force constants

../../_images/fig_fc26697.png

(a) Force constants w.r.t atomic distance

Summary

../../_images/fig_kappa5435.png

(a) Temperature-dependent lattice thermal conductivity

../../_images/fig_times12414.png

(b) Computation time