mp-571103/In5AgSe8/anharm

Harmonic properties

../../_images/fig_bandos_pr6900.png

(a) Phonon dispersion with participation ratio and DOS

../../_images/fig_thermo6900.png

(b) Thermodynamic properties

Grüneisen parameters

../../_images/fig_gru_all2852.png

(a) Grüneisen parameters

../../_images/fig_gruneisen2852.png

(b) Phonon dispersion with Grüneisen parameters

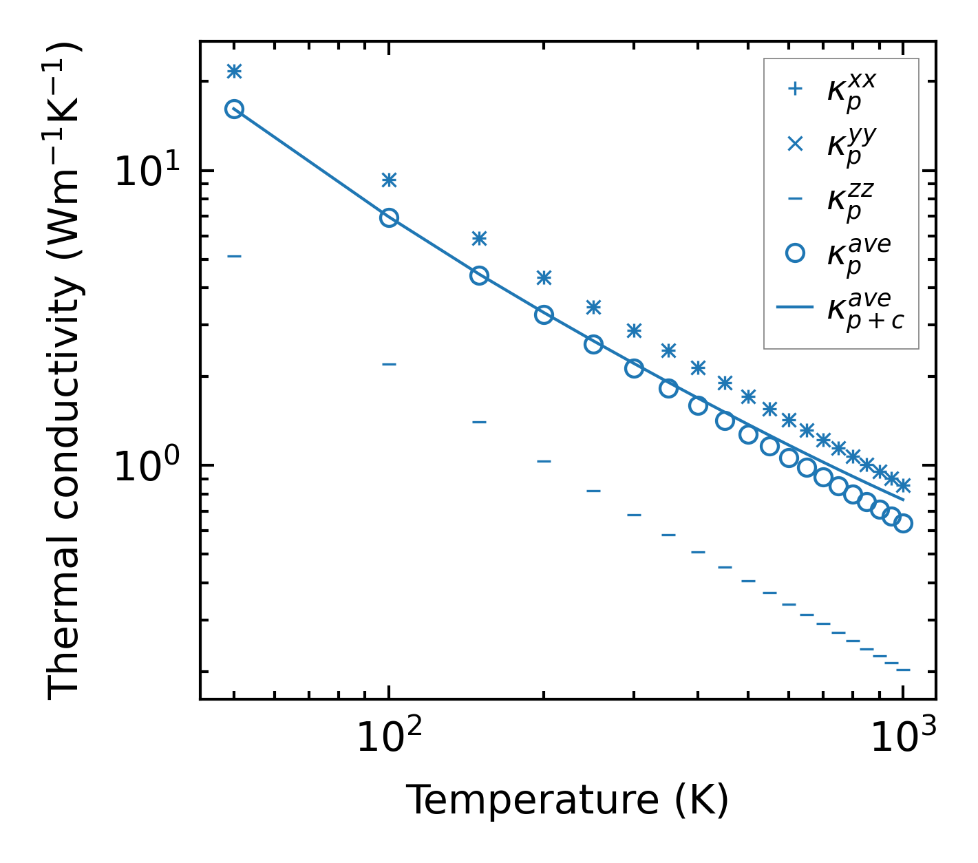
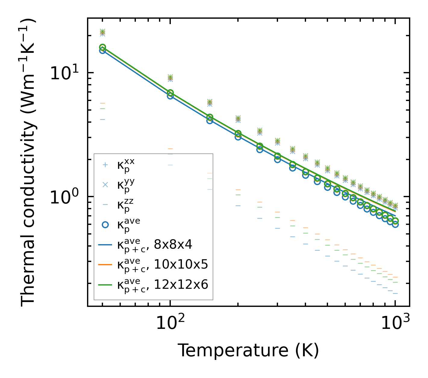
Thermal conductivity

3-phonon (LASSO) — q-mesh: 12x12x6, supercell: 3x3x1

../../_images/fig_kappa5411.png

(a) Temperature-dependent lattice thermal conductivity

../../_images/fig_kappa_vs_grain_size2893.png

(b) Peierls lattice thermal conductivity w.r.t grain size

Phonon lifetime and scattering rates

../../_images/fig_lifetime2828.png

(a) Phonon lifetime due to phonon-phonon scattering

../../_images/fig_scat_rates2827.png

(b) Phonon scattering rates

Cumulative and spectral thermal conductivity

../../_images/fig_cumu_frequency2828.png

(a) Spectral and cumulative thermal conductivity w.r.t frequency

../../_images/fig_cumu_mfp2827.png

(b) Spectral and cumulative thermal conductivity w.r.t MFP

Force constants

../../_images/fig_fc26680.png

(a) Force constants w.r.t atomic distance

Summary

../../_images/fig_kappa5412.png

(a) Temperature-dependent lattice thermal conductivity

../../_images/fig_times12378.png

(b) Computation time