mp-571232-2/YbBr2/anharm

Equation of state

../../_images/fig_bm3705.png

(a) Equation of state

Harmonic properties

../../_images/fig_bandos_pr6915.png

(a) Phonon dispersion with participation ratio and DOS

../../_images/fig_thermo6915.png

(b) Thermodynamic properties

Grüneisen parameters

../../_images/fig_gru_all2860.png

(a) Grüneisen parameters

../../_images/fig_gruneisen2860.png

(b) Phonon dispersion with Grüneisen parameters

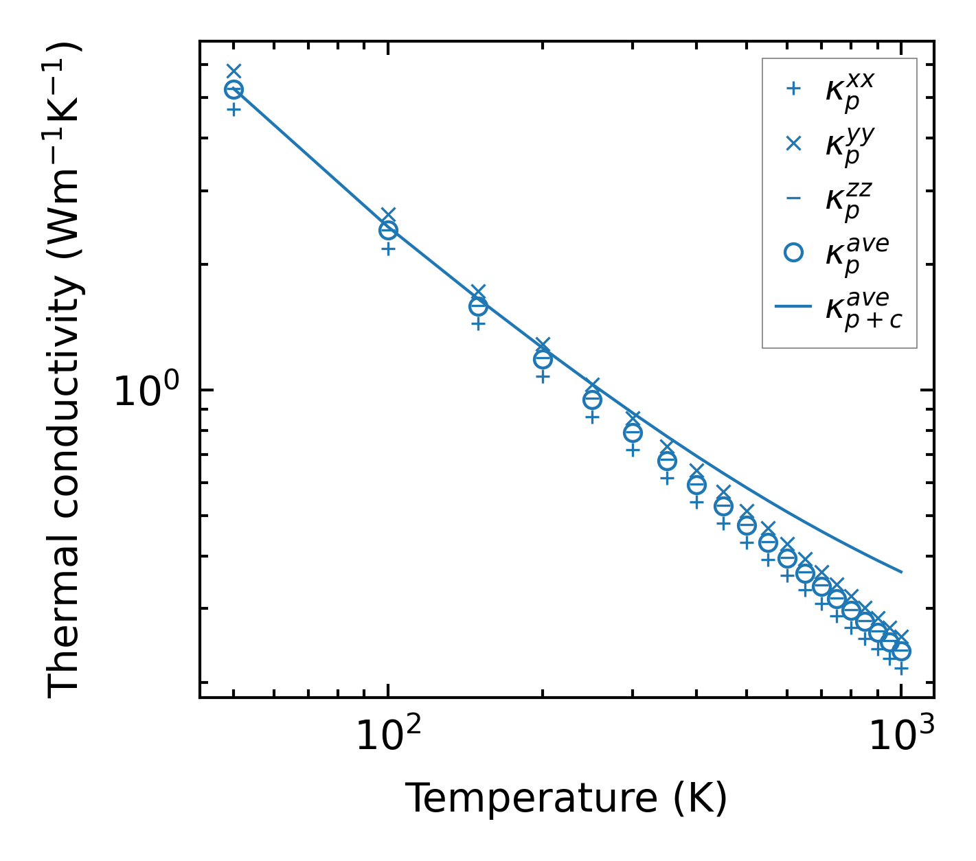
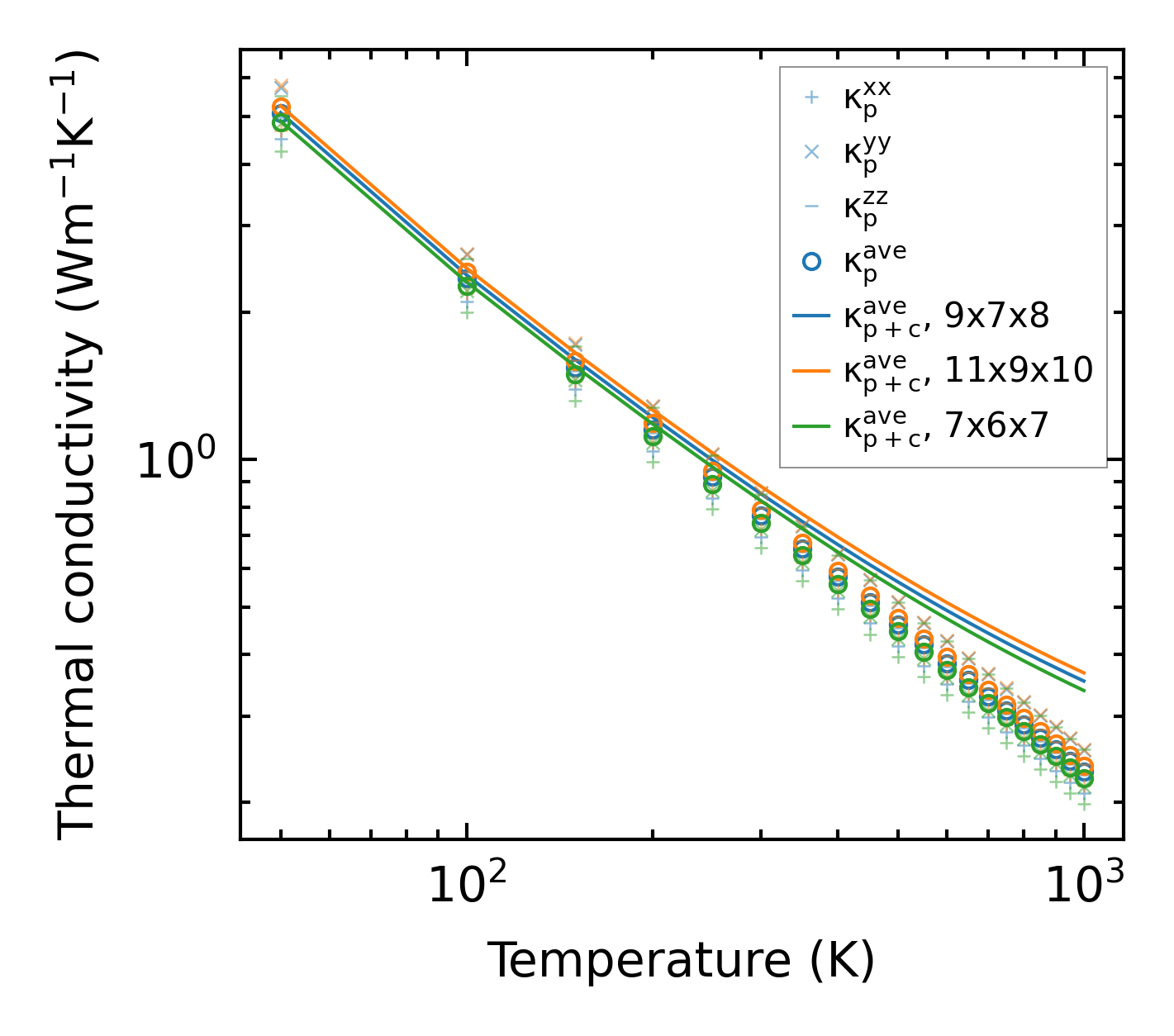
Thermal conductivity

3-phonon (LASSO) — q-mesh: 11x9x10, supercell: 3x2x2

../../_images/fig_kappa5428.png

(a) Temperature-dependent lattice thermal conductivity

../../_images/fig_kappa_vs_grain_size2902.png

(b) Peierls lattice thermal conductivity w.r.t grain size

Phonon lifetime and scattering rates

../../_images/fig_lifetime2836.png

(a) Phonon lifetime due to phonon-phonon scattering

../../_images/fig_scat_rates2835.png

(b) Phonon scattering rates

Cumulative and spectral thermal conductivity

../../_images/fig_cumu_frequency2836.png

(a) Spectral and cumulative thermal conductivity w.r.t frequency

../../_images/fig_cumu_mfp2835.png

(b) Spectral and cumulative thermal conductivity w.r.t MFP

Force constants

../../_images/fig_fc26694.png

(a) Force constants w.r.t atomic distance

Summary

../../_images/fig_kappa5429.png

(a) Temperature-dependent lattice thermal conductivity

../../_images/fig_times12411.png

(b) Computation time