mp-571555-2/InCl/anharm

Equation of state

../../_images/fig_bm3572.png

(a) Equation of state

Harmonic properties

../../_images/fig_bandos_pr6676.png

(a) Phonon dispersion with participation ratio and DOS

../../_images/fig_bandos9585.png

(b) Phonon dispersion and DOS

../../_images/fig_thermo6676.png

(c) Thermodynamic properties

Grüneisen parameters

../../_images/fig_gru_all2721.png

(a) Grüneisen parameters

../../_images/fig_gruneisen2721.png

(b) Phonon dispersion with Grüneisen parameters

Thermal conductivity

3-phonon (LASSO), supercell 4x2x3 — q-mesh: 13x13x19, supercell: 4x2x3

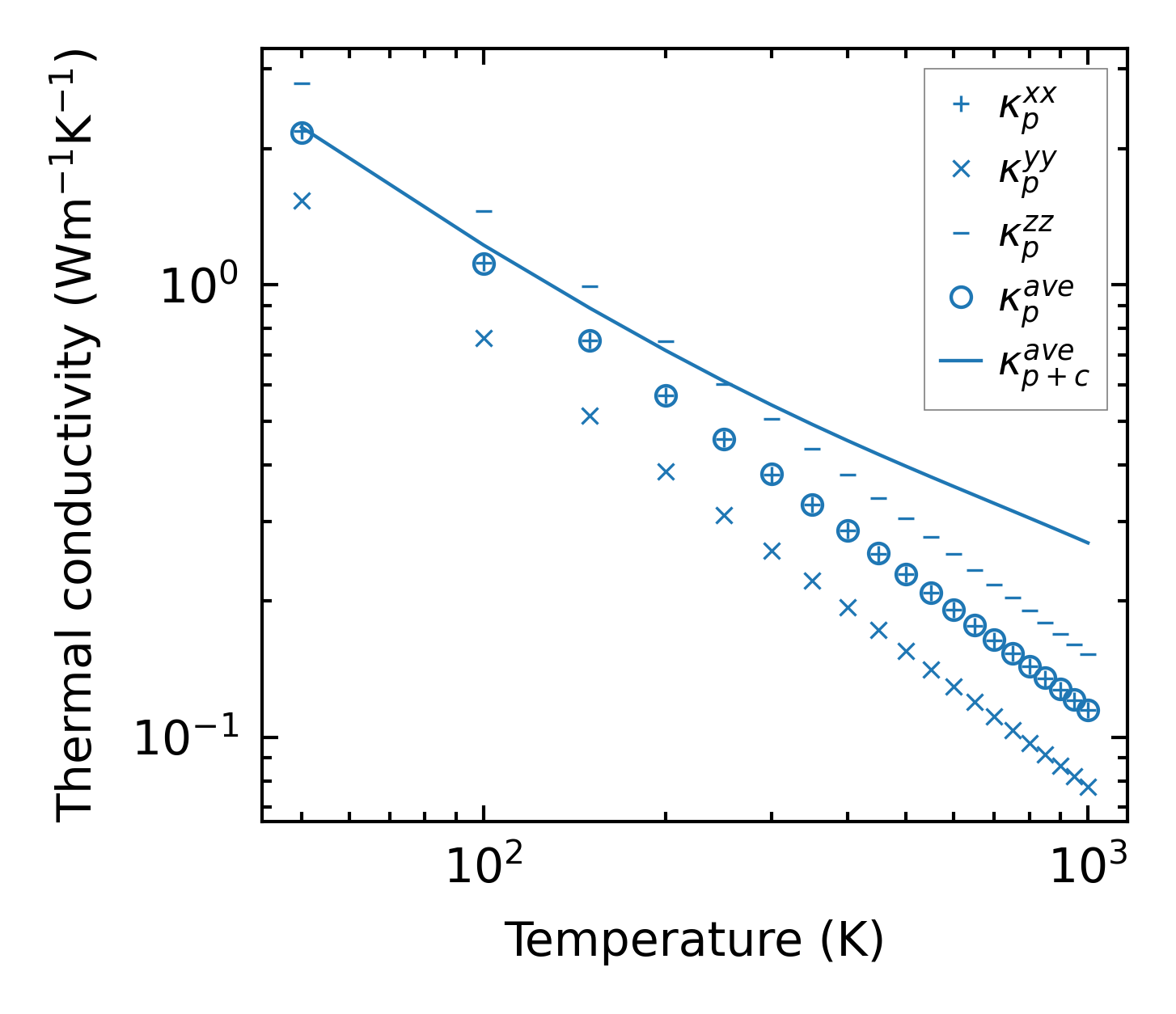
../../_images/fig_kappa5173.png

(a) Temperature-dependent lattice thermal conductivity

../../_images/fig_kappa_vs_grain_size2761.png

(b) Peierls lattice thermal conductivity w.r.t grain size

Phonon lifetime and scattering rates

../../_images/fig_lifetime2697.png

(a) Phonon lifetime due to phonon-phonon scattering

../../_images/fig_scat_rates2696.png

(b) Phonon scattering rates

Cumulative and spectral thermal conductivity

../../_images/fig_cumu_frequency2697.png

(a) Spectral and cumulative thermal conductivity w.r.t frequency

../../_images/fig_cumu_mfp2696.png

(b) Spectral and cumulative thermal conductivity w.r.t MFP

Force constants

../../_images/fig_fc26466.png

(a) Force constants w.r.t atomic distance

Summary

../../_images/fig_times11969.png

(a) Computation time