mp-571193/MnP4/anharm

Harmonic properties

../../_images/fig_bandos_pr6912.png

(a) Phonon dispersion with participation ratio and DOS

../../_images/fig_thermo6912.png

(b) Thermodynamic properties

Grüneisen parameters

../../_images/fig_gru_all2857.png

(a) Grüneisen parameters

../../_images/fig_gruneisen2857.png

(b) Phonon dispersion with Grüneisen parameters

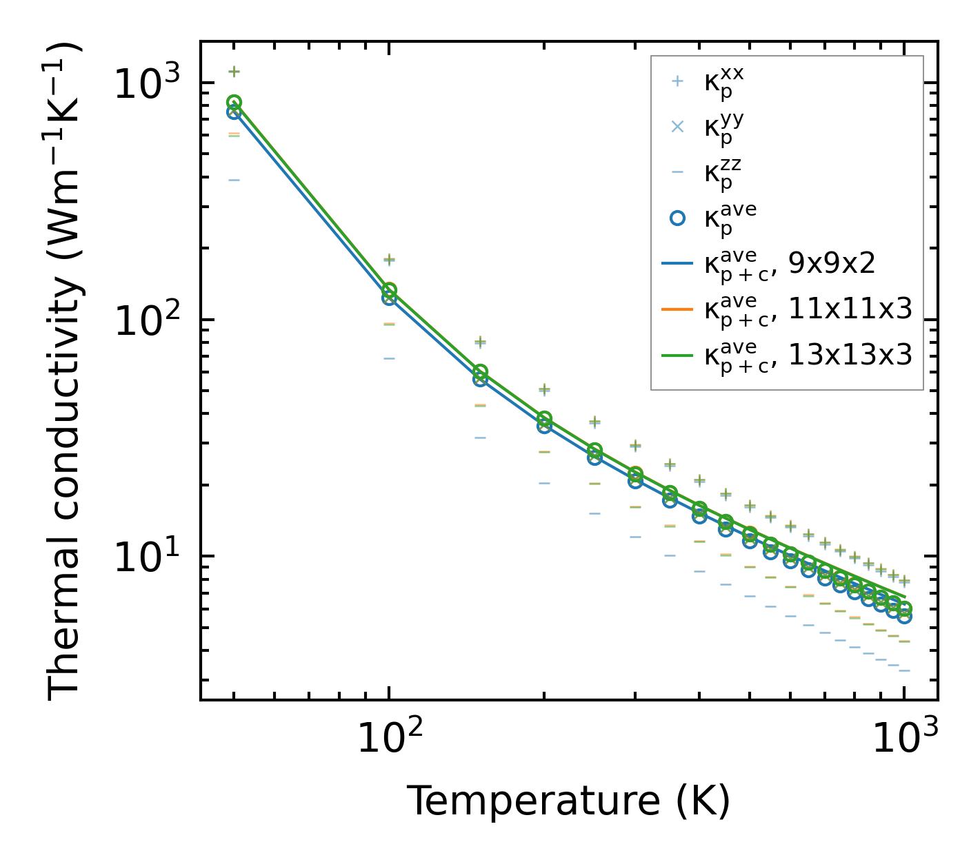
Thermal conductivity

3-phonon (LASSO) — q-mesh: 13x13x3, supercell: 1x1x1

../../_images/fig_kappa5422.png

(a) Temperature-dependent lattice thermal conductivity

../../_images/fig_kappa_vs_grain_size2899.png

(b) Peierls lattice thermal conductivity w.r.t grain size

Phonon lifetime and scattering rates

../../_images/fig_lifetime2833.png

(a) Phonon lifetime due to phonon-phonon scattering

../../_images/fig_scat_rates2832.png

(b) Phonon scattering rates

Cumulative and spectral thermal conductivity

../../_images/fig_cumu_frequency2833.png

(a) Spectral and cumulative thermal conductivity w.r.t frequency

../../_images/fig_cumu_mfp2832.png

(b) Spectral and cumulative thermal conductivity w.r.t MFP

Force constants

../../_images/fig_fc26692.png

(a) Force constants w.r.t atomic distance

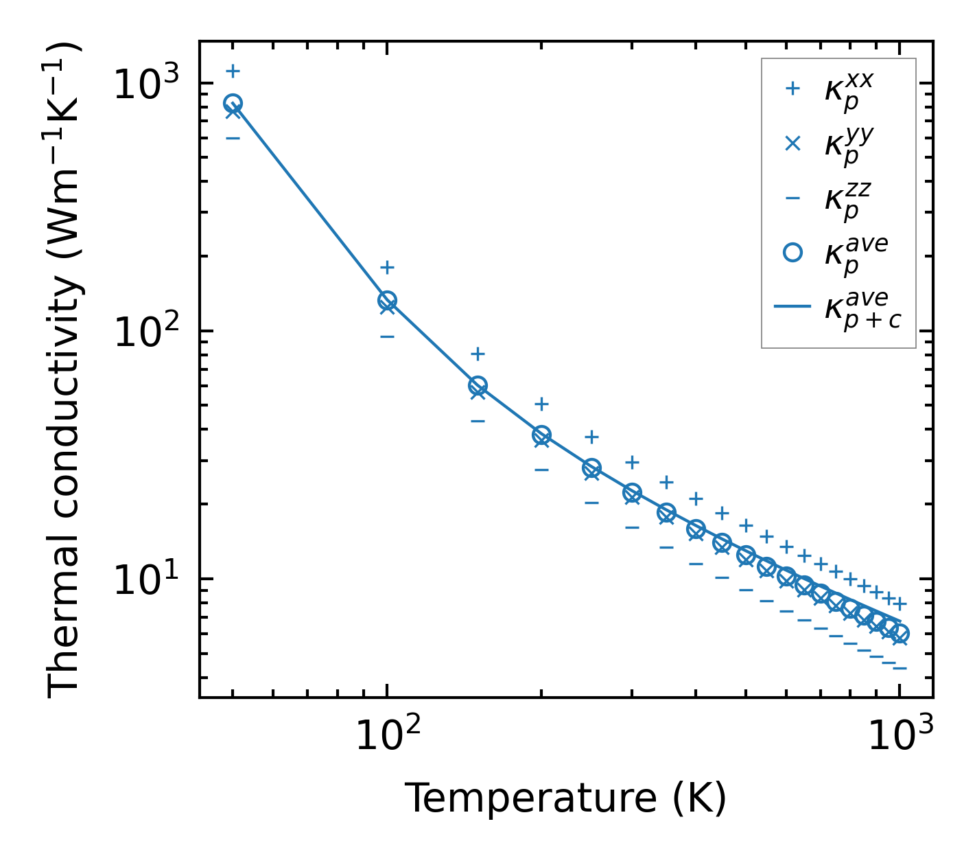
Summary

../../_images/fig_kappa5423.png

(a) Temperature-dependent lattice thermal conductivity

../../_images/fig_times12400.png

(b) Computation time