mp-571369/YB3H12/anharm

Harmonic properties

../../_images/fig_bandos_pr6935.png

(a) Phonon dispersion with participation ratio and DOS

../../_images/fig_thermo6935.png

(b) Thermodynamic properties

Grüneisen parameters

../../_images/fig_gru_all2872.png

(a) Grüneisen parameters

../../_images/fig_gruneisen2872.png

(b) Phonon dispersion with Grüneisen parameters

Thermal conductivity

3-phonon (LASSO) — q-mesh: 6x6x6, supercell: 1x1x1

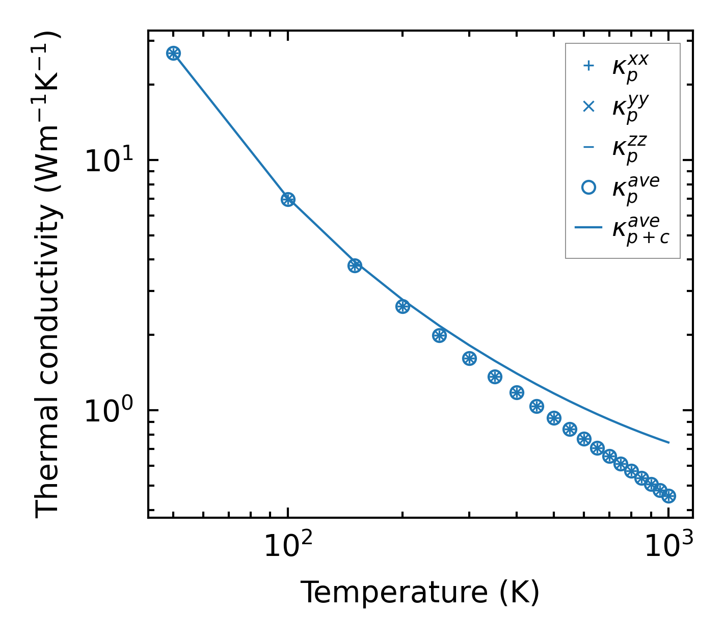
../../_images/fig_kappa5451.png

(a) Temperature-dependent lattice thermal conductivity

../../_images/fig_kappa_vs_grain_size2914.png

(b) Peierls lattice thermal conductivity w.r.t grain size

Phonon lifetime and scattering rates

../../_images/fig_lifetime2848.png

(a) Phonon lifetime due to phonon-phonon scattering

../../_images/fig_scat_rates2847.png

(b) Phonon scattering rates

Cumulative and spectral thermal conductivity

../../_images/fig_cumu_frequency2848.png

(a) Spectral and cumulative thermal conductivity w.r.t frequency

../../_images/fig_cumu_mfp2847.png

(b) Spectral and cumulative thermal conductivity w.r.t MFP

Force constants

../../_images/fig_fc26714.png

(a) Force constants w.r.t atomic distance

Summary

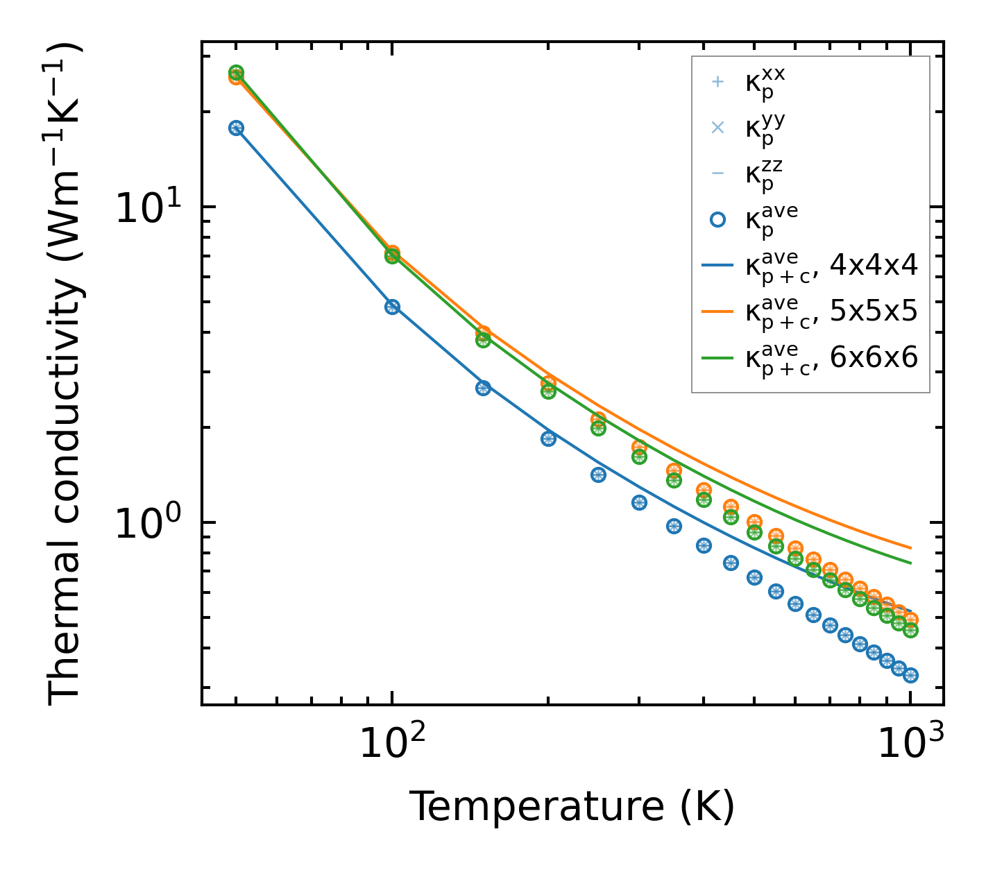
../../_images/fig_kappa5452.png

(a) Temperature-dependent lattice thermal conductivity

../../_images/fig_times12433.png

(b) Computation time