mp-571164-2/Rb3AgSn3Se8/anharm

Equation of state

../../_images/fig_bm3696.png

(a) Equation of state

Harmonic properties

../../_images/fig_bandos_pr6907.png

(a) Phonon dispersion with participation ratio and DOS

../../_images/fig_thermo6907.png

(b) Thermodynamic properties

Grüneisen parameters

../../_images/fig_gru_all2855.png

(a) Grüneisen parameters

../../_images/fig_gruneisen2855.png

(b) Phonon dispersion with Grüneisen parameters

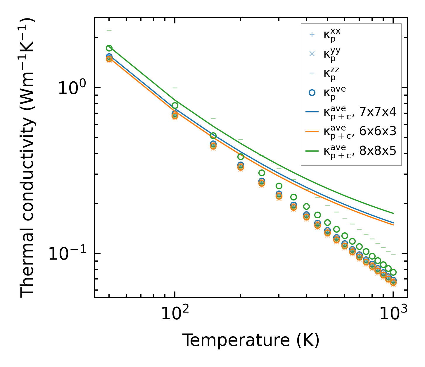
Thermal conductivity

3-phonon (LASSO) — q-mesh: 8x8x5, supercell: 2x2x1

../../_images/fig_kappa5417.png

(a) Temperature-dependent lattice thermal conductivity

../../_images/fig_kappa_vs_grain_size2896.png

(b) Peierls lattice thermal conductivity w.r.t grain size

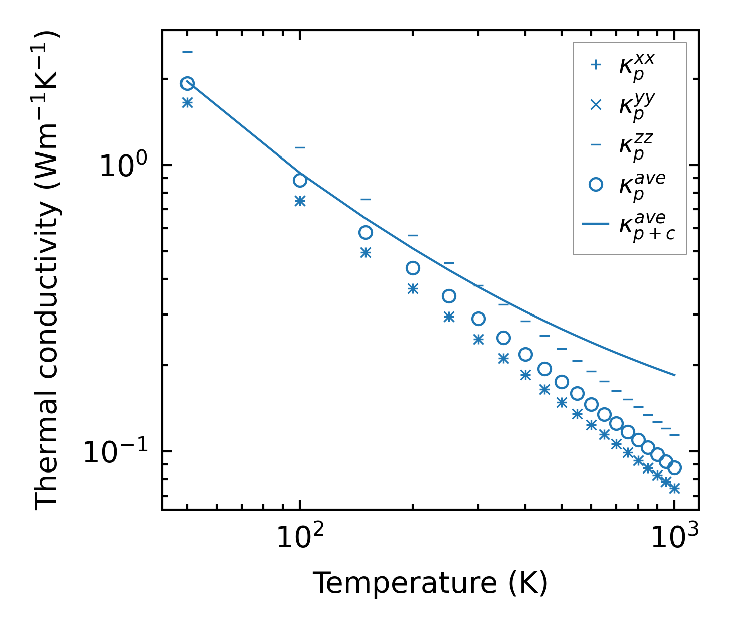
3-phonon (LASSO), supercell 2x2x2 — q-mesh: 8x8x5, supercell: 2x2x2

../../_images/fig_kappa5418.png

(a) Temperature-dependent lattice thermal conductivity

../../_images/fig_kappa_vs_grain_size2897.png

(b) Peierls lattice thermal conductivity w.r.t grain size

Phonon lifetime and scattering rates

../../_images/fig_lifetime2831.png

(a) Phonon lifetime due to phonon-phonon scattering

../../_images/fig_scat_rates2830.png

(b) Phonon scattering rates

Cumulative and spectral thermal conductivity

../../_images/fig_cumu_frequency2831.png

(a) Spectral and cumulative thermal conductivity w.r.t frequency

../../_images/fig_cumu_mfp2830.png

(b) Spectral and cumulative thermal conductivity w.r.t MFP

Force constants

../../_images/fig_fc26687.png

(a) Force constants w.r.t atomic distance

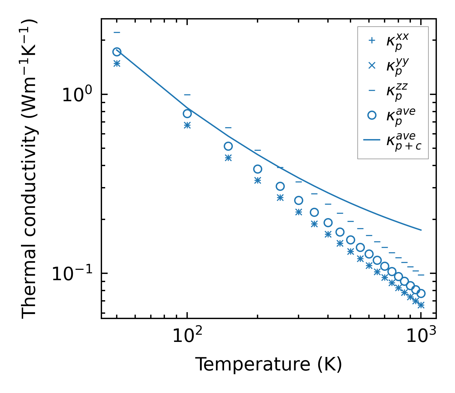
Summary

../../_images/fig_kappa5419.png

(a) Temperature-dependent lattice thermal conductivity

../../_images/fig_times12389.png

(b) Computation time