mp-571473/K2Sm2As2Se9/anharm

Harmonic properties

../../_images/fig_bandos_pr6668.png

(a) Phonon dispersion with participation ratio and DOS

../../_images/fig_thermo6668.png

(b) Thermodynamic properties

Grüneisen parameters

../../_images/fig_gru_all2717.png

(a) Grüneisen parameters

../../_images/fig_gruneisen2717.png

(b) Phonon dispersion with Grüneisen parameters

Thermal conductivity

3-phonon (LASSO) — q-mesh: 4x8x3, supercell: 1x1x1

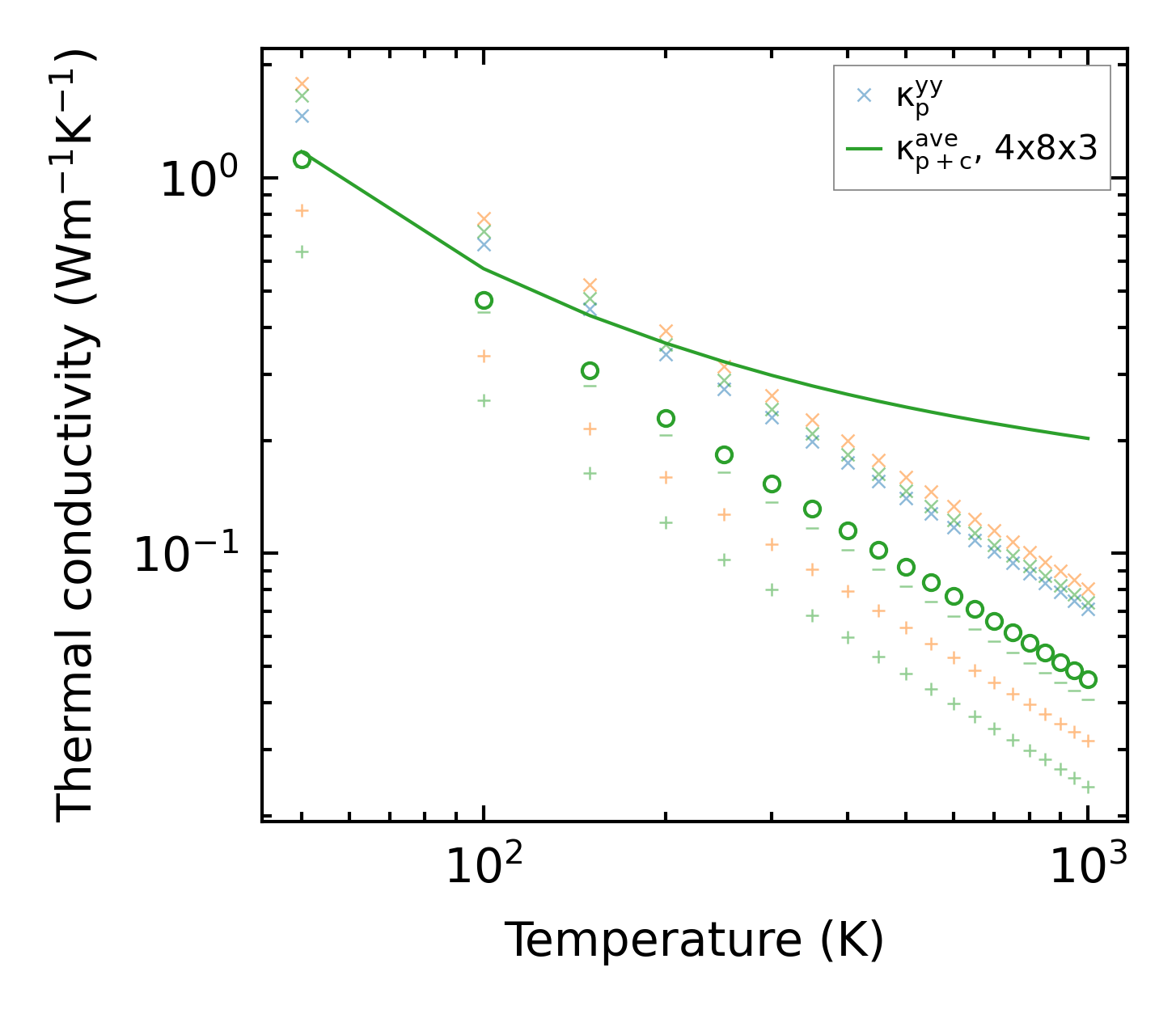
../../_images/fig_kappa5166.png

(a) Temperature-dependent lattice thermal conductivity

../../_images/fig_kappa_vs_grain_size2757.png

(b) Peierls lattice thermal conductivity w.r.t grain size

Phonon lifetime and scattering rates

../../_images/fig_lifetime2693.png

(a) Phonon lifetime due to phonon-phonon scattering

../../_images/fig_scat_rates2692.png

(b) Phonon scattering rates

Cumulative and spectral thermal conductivity

../../_images/fig_cumu_frequency2693.png

(a) Spectral and cumulative thermal conductivity w.r.t frequency

../../_images/fig_cumu_mfp2692.png

(b) Spectral and cumulative thermal conductivity w.r.t MFP

Force constants

../../_images/fig_fc26458.png

(a) Force constants w.r.t atomic distance

Summary

../../_images/fig_kappa5167.png

(a) Temperature-dependent lattice thermal conductivity

../../_images/fig_times11946.png

(b) Computation time