mp-571240/KLa5C2Cl10/anharm

Harmonic properties

../../_images/fig_bandos_pr6917.png

(a) Phonon dispersion with participation ratio and DOS

../../_images/fig_bandos9913.png

(b) Phonon dispersion and DOS

../../_images/fig_thermo6917.png

(c) Thermodynamic properties

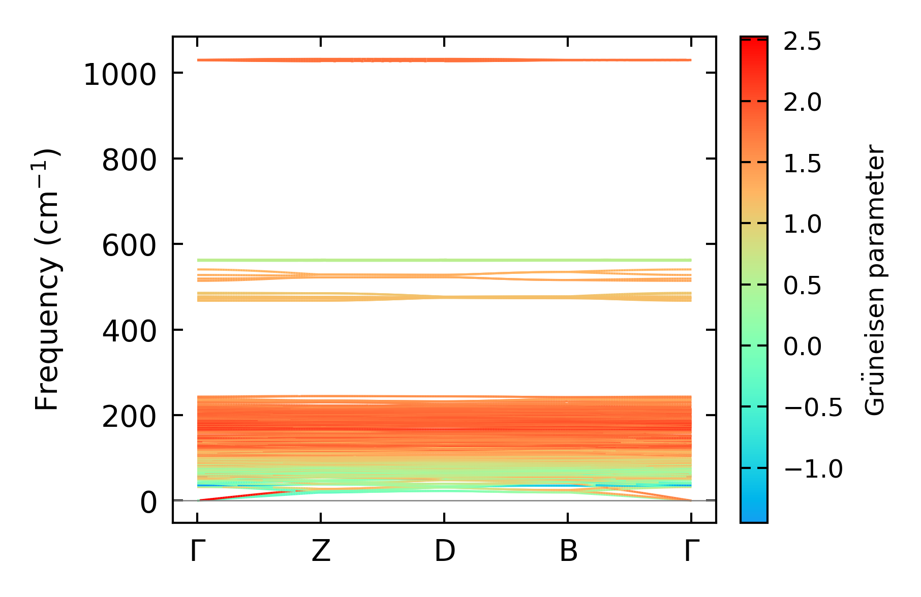
Grüneisen parameters

../../_images/fig_gru_all2862.png

(a) Grüneisen parameters

../../_images/fig_gruneisen2862.png

(b) Phonon dispersion with Grüneisen parameters

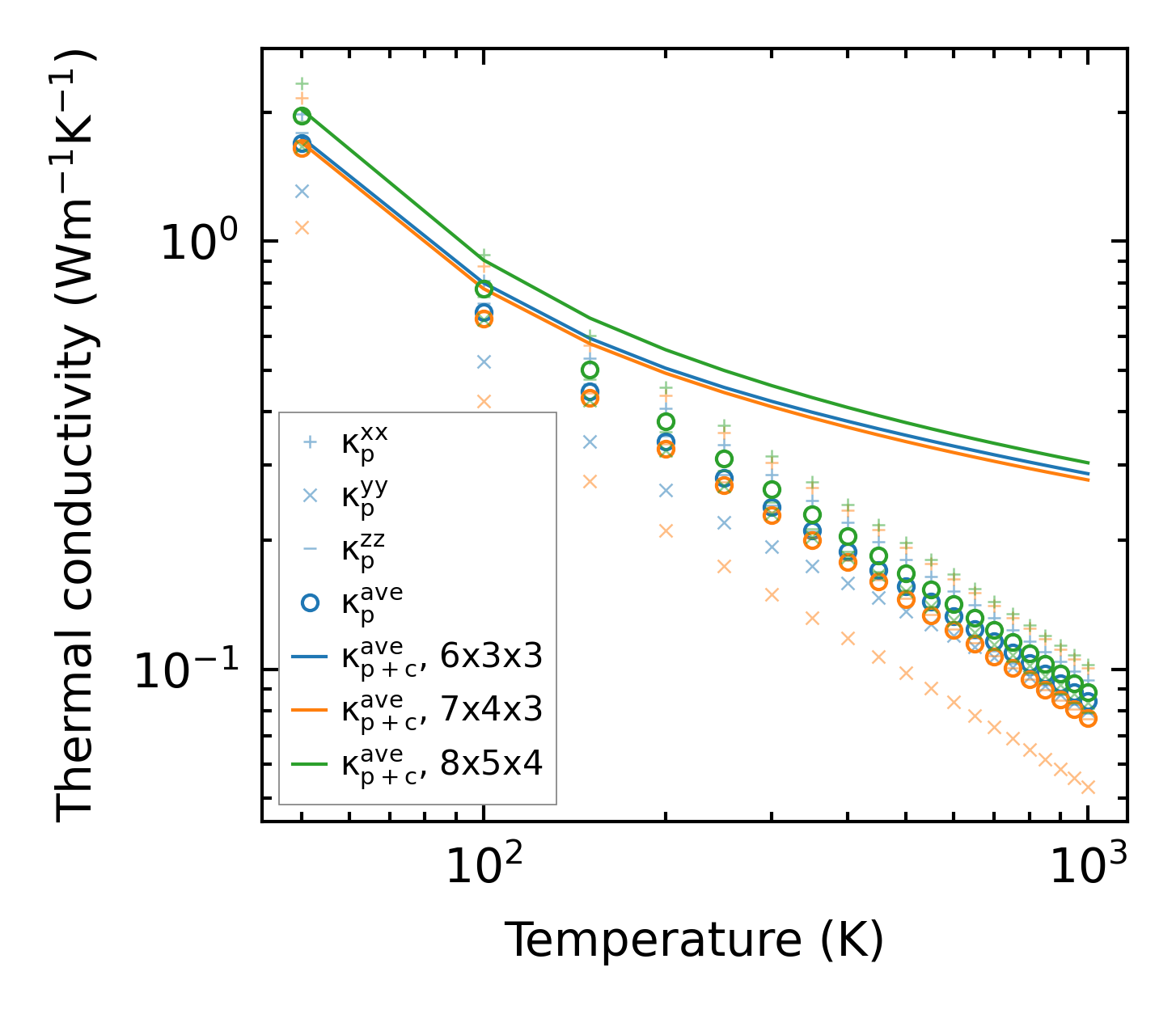
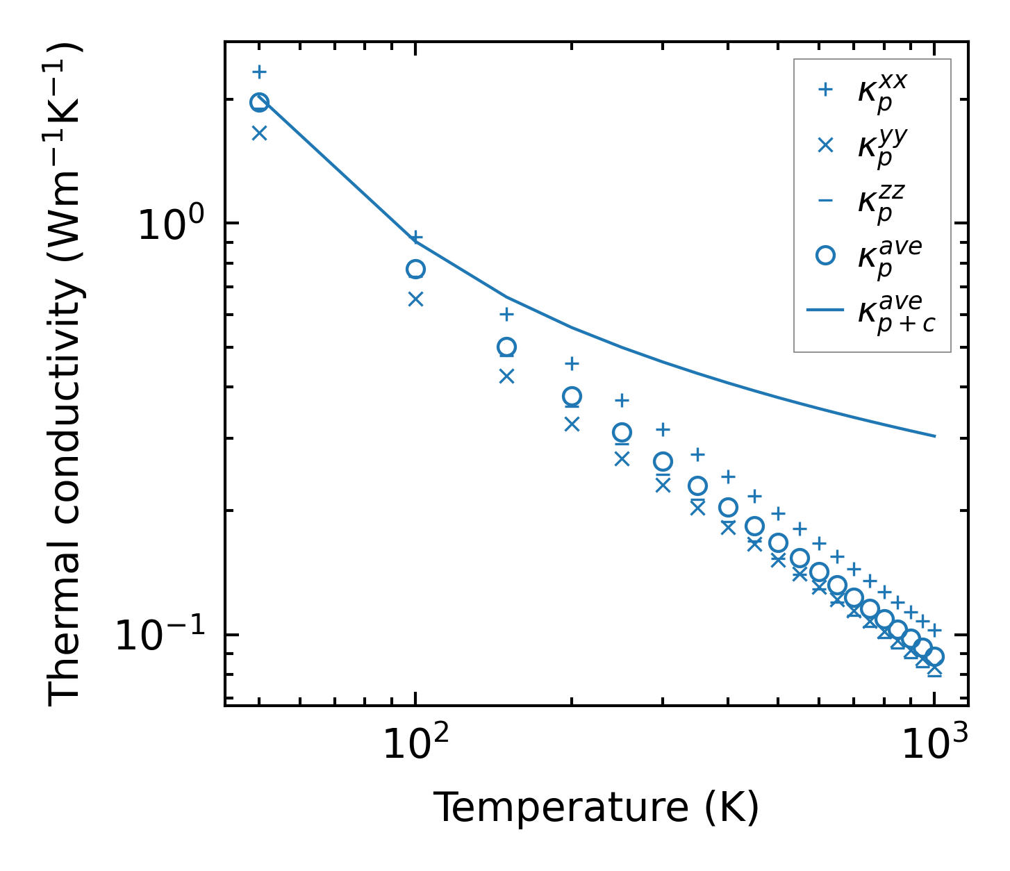
Thermal conductivity

3-phonon (LASSO) — q-mesh: 8x5x4, supercell: 2x1x1

../../_images/fig_kappa5432.png

(a) Temperature-dependent lattice thermal conductivity

../../_images/fig_kappa_vs_grain_size2904.png

(b) Peierls lattice thermal conductivity w.r.t grain size

Phonon lifetime and scattering rates

../../_images/fig_lifetime2838.png

(a) Phonon lifetime due to phonon-phonon scattering

../../_images/fig_scat_rates2837.png

(b) Phonon scattering rates

Cumulative and spectral thermal conductivity

../../_images/fig_cumu_frequency2838.png

(a) Spectral and cumulative thermal conductivity w.r.t frequency

../../_images/fig_cumu_mfp2837.png

(b) Spectral and cumulative thermal conductivity w.r.t MFP

Force constants

../../_images/fig_fc26696.png

(a) Force constants w.r.t atomic distance

Summary

../../_images/fig_kappa5433.png

(a) Temperature-dependent lattice thermal conductivity

../../_images/fig_times12413.png

(b) Computation time