mp-567983/ErCuPbSe3/anharm

Equation of state

../../_images/fig_bm3831.png

(a) Equation of state

Harmonic properties

../../_images/fig_bandos_pr7231.png

(a) Phonon dispersion with participation ratio and DOS

../../_images/fig_bandos10217.png

(b) Phonon dispersion and DOS

../../_images/fig_thermo7231.png

(c) Thermodynamic properties

Grüneisen parameters

../../_images/fig_gru_all3039.png

(a) Grüneisen parameters

../../_images/fig_gruneisen3039.png

(b) Phonon dispersion with Grüneisen parameters

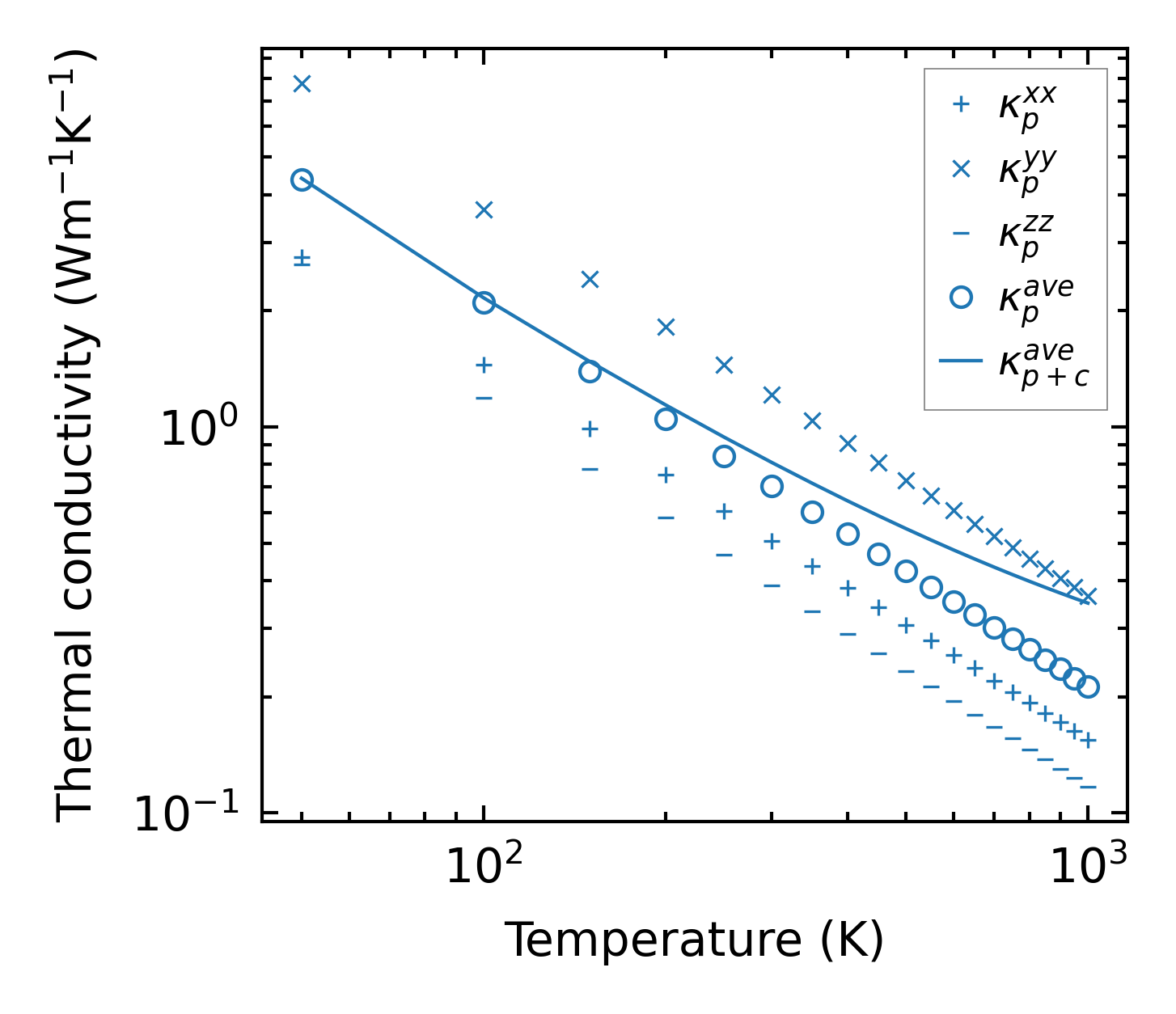
Thermal conductivity

3-phonon (LASSO), supercell 2x4x1 — q-mesh: 6x18x5, supercell: 2x4x1

../../_images/fig_kappa5757.png

(a) Temperature-dependent lattice thermal conductivity

../../_images/fig_kappa_vs_grain_size3082.png

(b) Peierls lattice thermal conductivity w.r.t grain size

Phonon lifetime and scattering rates

../../_images/fig_lifetime3014.png

(a) Phonon lifetime due to phonon-phonon scattering

../../_images/fig_scat_rates3013.png

(b) Phonon scattering rates

Cumulative and spectral thermal conductivity

../../_images/fig_cumu_frequency3014.png

(a) Spectral and cumulative thermal conductivity w.r.t frequency

../../_images/fig_cumu_mfp3013.png

(b) Spectral and cumulative thermal conductivity w.r.t MFP

Force constants

../../_images/fig_fc26998.png

(a) Force constants w.r.t atomic distance

Summary

../../_images/fig_times12855.png

(a) Computation time