mp-567744/SrBr2/anharm

Harmonic properties

../../_images/fig_bandos_pr7200.png

(a) Phonon dispersion with participation ratio and DOS

../../_images/fig_bandos10187.png

(b) Phonon dispersion and DOS

../../_images/fig_thermo7200.png

(c) Thermodynamic properties

Grüneisen parameters

../../_images/fig_gru_all3023.png

(a) Grüneisen parameters

../../_images/fig_gruneisen3023.png

(b) Phonon dispersion with Grüneisen parameters

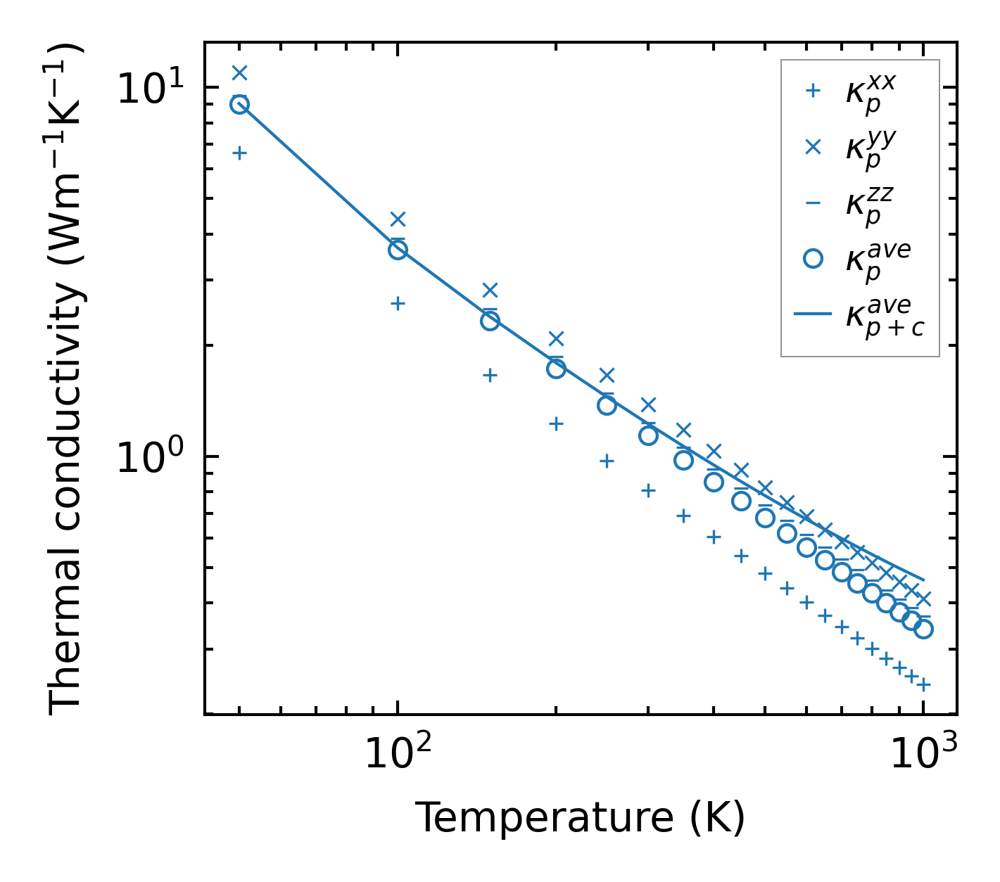
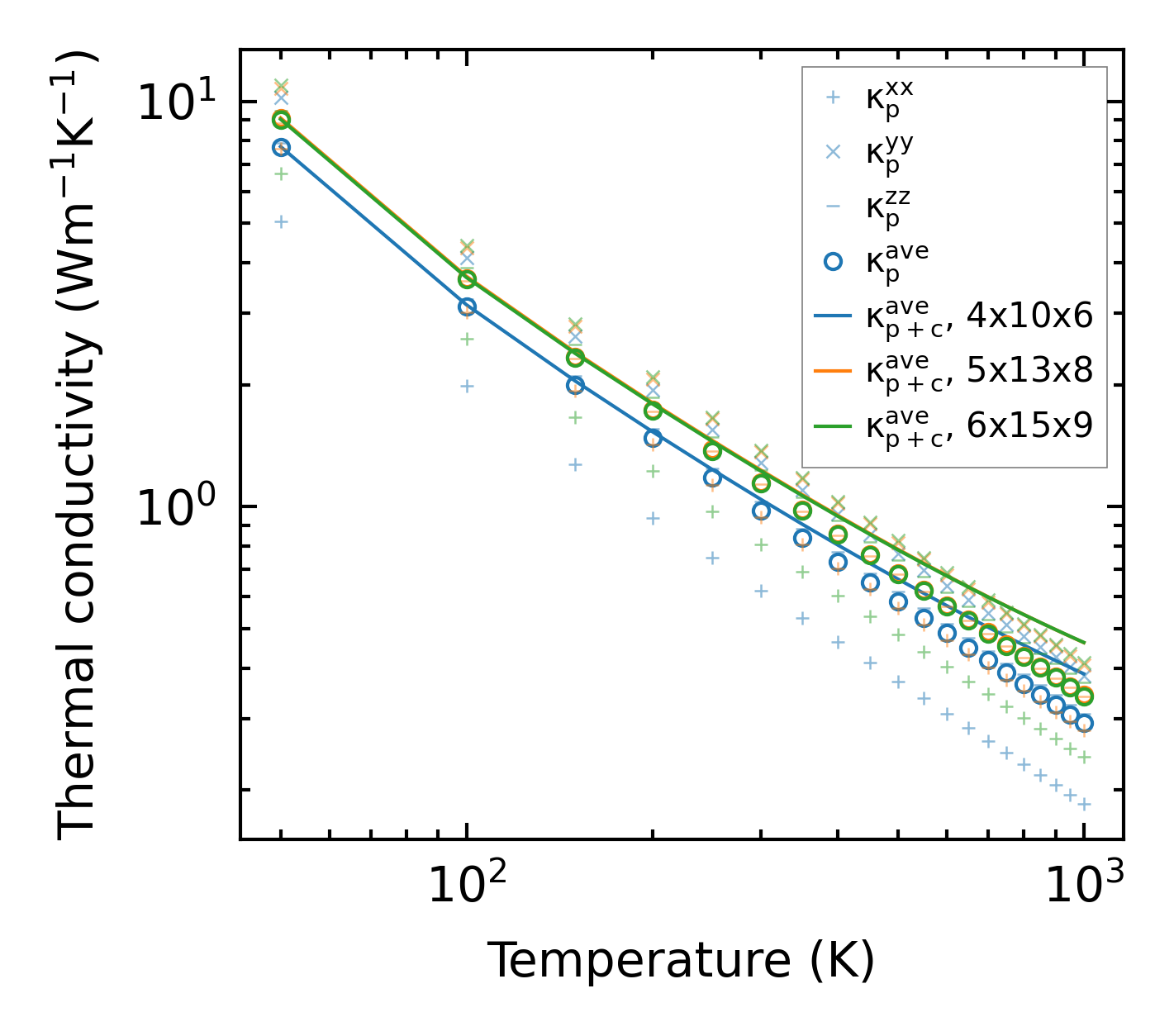
Thermal conductivity

3-phonon (LASSO) — q-mesh: 6x15x9, supercell: 2x3x2

../../_images/fig_kappa5728.png

(a) Temperature-dependent lattice thermal conductivity

../../_images/fig_kappa_vs_grain_size3066.png

(b) Peierls lattice thermal conductivity w.r.t grain size

Phonon lifetime and scattering rates

../../_images/fig_lifetime2998.png

(a) Phonon lifetime due to phonon-phonon scattering

../../_images/fig_scat_rates2997.png

(b) Phonon scattering rates

Cumulative and spectral thermal conductivity

../../_images/fig_cumu_frequency2998.png

(a) Spectral and cumulative thermal conductivity w.r.t frequency

../../_images/fig_cumu_mfp2997.png

(b) Spectral and cumulative thermal conductivity w.r.t MFP

Force constants

../../_images/fig_fc26968.png

(a) Force constants w.r.t atomic distance

Summary

../../_images/fig_kappa5729.png

(a) Temperature-dependent lattice thermal conductivity

../../_images/fig_times12815.png

(b) Computation time