mp-567644/RbCu2Br3/anharm

Harmonic properties

../../_images/fig_bandos_pr7185.png

(a) Phonon dispersion with participation ratio and DOS

../../_images/fig_thermo7185.png

(b) Thermodynamic properties

Grüneisen parameters

../../_images/fig_gru_all3012.png

(a) Grüneisen parameters

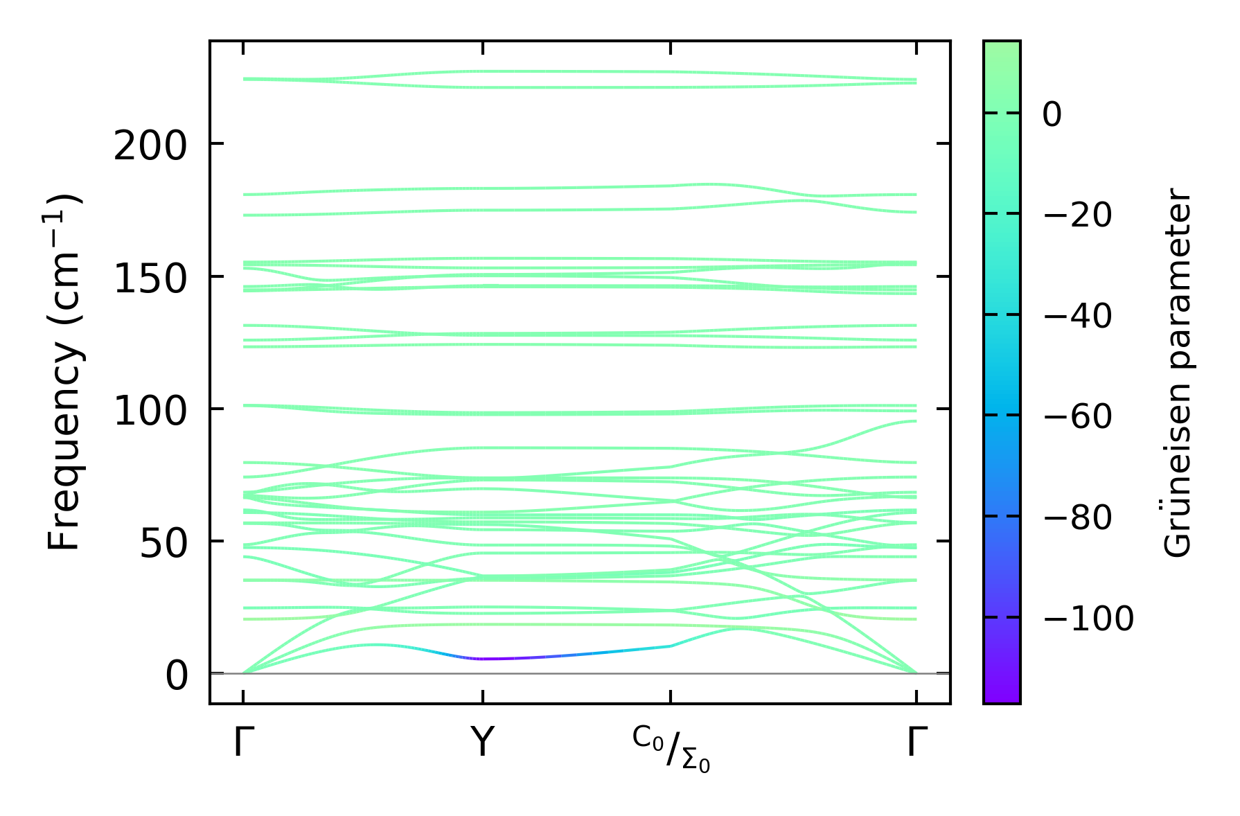
../../_images/fig_gruneisen3012.png

(b) Phonon dispersion with Grüneisen parameters

Thermal conductivity

3-phonon (LASSO) — q-mesh: 9x9x14, supercell: 2x1x3

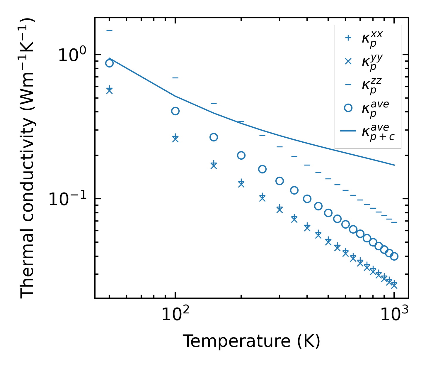
../../_images/fig_kappa5708.png

(a) Temperature-dependent lattice thermal conductivity

../../_images/fig_kappa_vs_grain_size3055.png

(b) Peierls lattice thermal conductivity w.r.t grain size

Phonon lifetime and scattering rates

../../_images/fig_lifetime2987.png

(a) Phonon lifetime due to phonon-phonon scattering

../../_images/fig_scat_rates2986.png

(b) Phonon scattering rates

Cumulative and spectral thermal conductivity

../../_images/fig_cumu_frequency2987.png

(a) Spectral and cumulative thermal conductivity w.r.t frequency

../../_images/fig_cumu_mfp2986.png

(b) Spectral and cumulative thermal conductivity w.r.t MFP

Force constants

../../_images/fig_fc26954.png

(a) Force constants w.r.t atomic distance

Summary

../../_images/fig_kappa5709.png

(a) Temperature-dependent lattice thermal conductivity

../../_images/fig_times12796.png

(b) Computation time