mp-567967/LiGaI4/anharm

Harmonic properties

../../_images/fig_bandos_pr7230.png

(a) Phonon dispersion with participation ratio and DOS

../../_images/fig_thermo7230.png

(b) Thermodynamic properties

Grüneisen parameters

../../_images/fig_gru_all3038.png

(a) Grüneisen parameters

../../_images/fig_gruneisen3038.png

(b) Phonon dispersion with Grüneisen parameters

Thermal conductivity

3-phonon (LASSO) — q-mesh: 9x9x4, supercell: 2x2x1

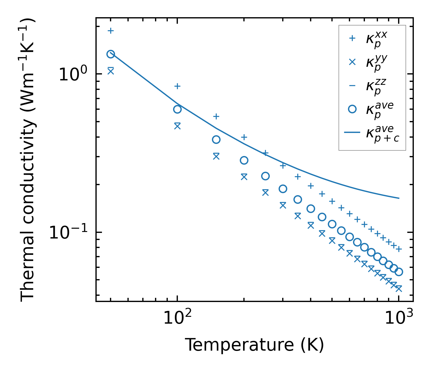
../../_images/fig_kappa5755.png

(a) Temperature-dependent lattice thermal conductivity

../../_images/fig_kappa_vs_grain_size3081.png

(b) Peierls lattice thermal conductivity w.r.t grain size

Phonon lifetime and scattering rates

../../_images/fig_lifetime3013.png

(a) Phonon lifetime due to phonon-phonon scattering

../../_images/fig_scat_rates3012.png

(b) Phonon scattering rates

Cumulative and spectral thermal conductivity

../../_images/fig_cumu_frequency3013.png

(a) Spectral and cumulative thermal conductivity w.r.t frequency

../../_images/fig_cumu_mfp3012.png

(b) Spectral and cumulative thermal conductivity w.r.t MFP

Force constants

../../_images/fig_fc26997.png

(a) Force constants w.r.t atomic distance

Summary

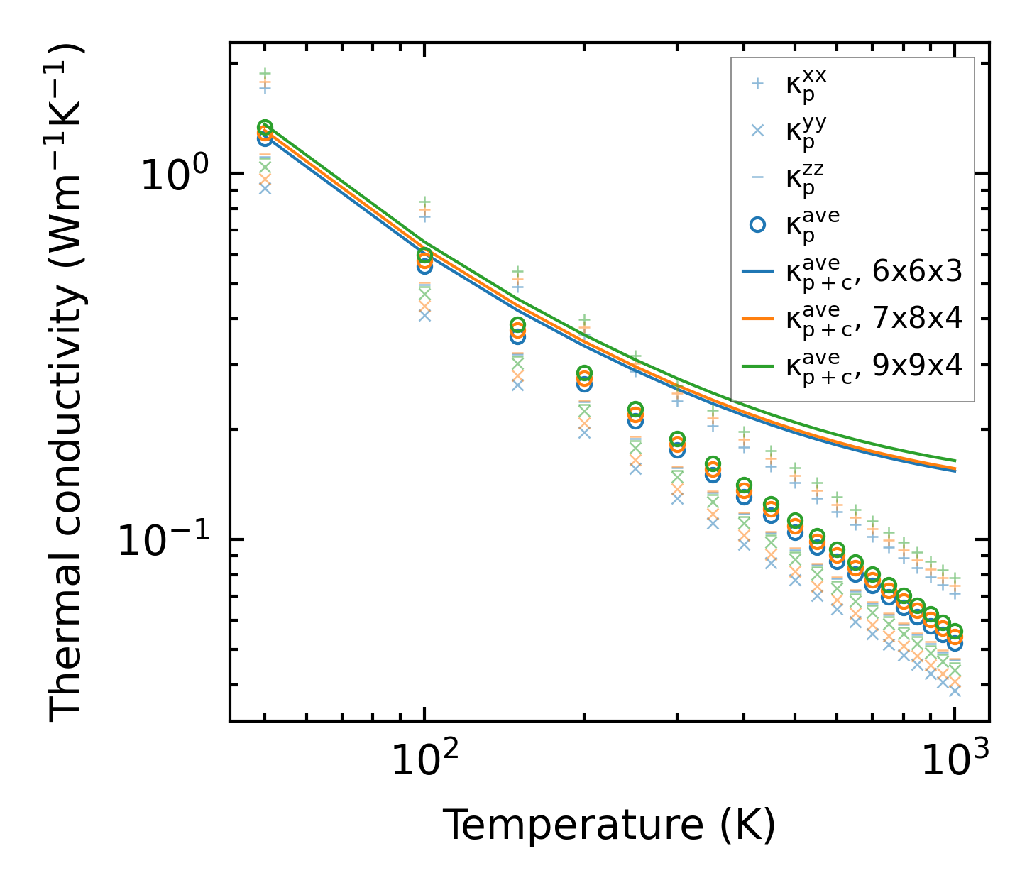
../../_images/fig_kappa5756.png

(a) Temperature-dependent lattice thermal conductivity

../../_images/fig_times12853.png

(b) Computation time