mp-567809/AgI/anharm

Harmonic properties

../../_images/fig_bandos_pr7212.png

(a) Phonon dispersion with participation ratio and DOS

../../_images/fig_thermo7212.png

(b) Thermodynamic properties

Grüneisen parameters

../../_images/fig_gru_all3029.png

(a) Grüneisen parameters

../../_images/fig_gruneisen3029.png

(b) Phonon dispersion with Grüneisen parameters

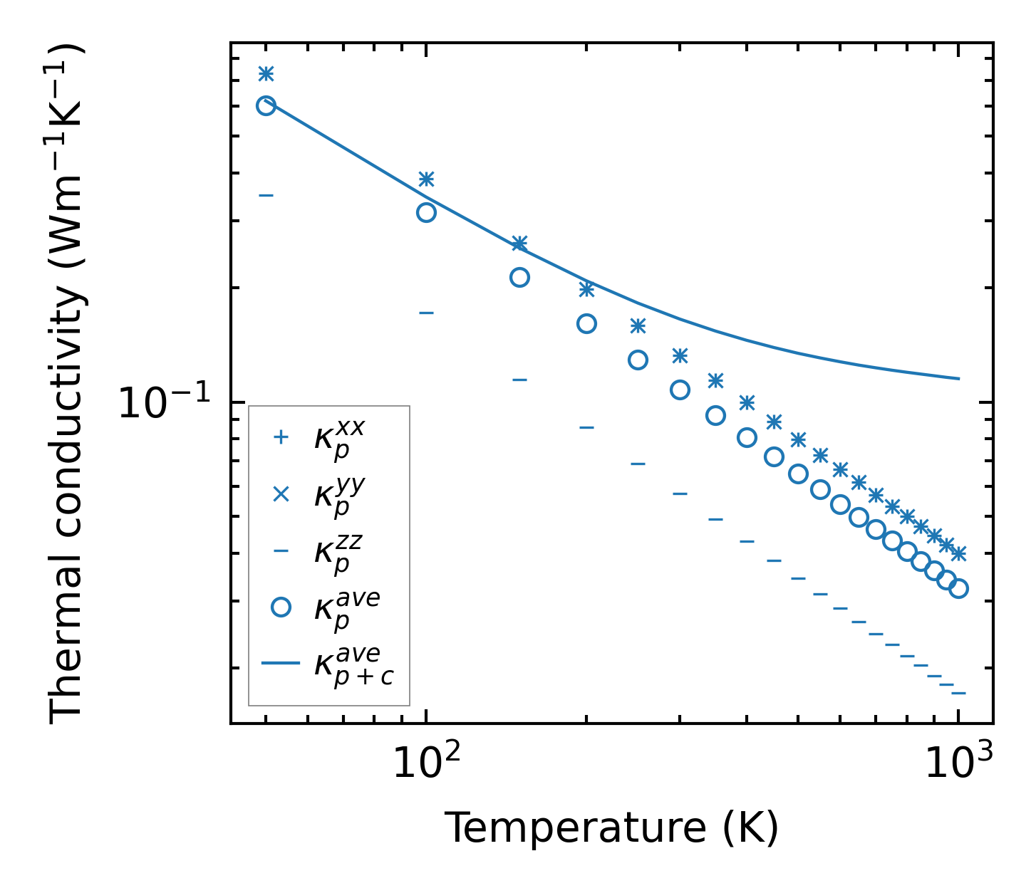
Thermal conductivity

3-phonon — q-mesh: 16x16x11, supercell: 3x3x3

../../_images/fig_kappa5740.png

(a) Temperature-dependent lattice thermal conductivity

../../_images/fig_kappa_vs_grain_size3072.png

(b) Peierls lattice thermal conductivity w.r.t grain size

Phonon lifetime and scattering rates

../../_images/fig_lifetime3004.png

(a) Phonon lifetime due to phonon-phonon scattering

../../_images/fig_scat_rates3003.png

(b) Phonon scattering rates

Cumulative and spectral thermal conductivity

../../_images/fig_cumu_frequency3004.png

(a) Spectral and cumulative thermal conductivity w.r.t frequency

../../_images/fig_cumu_mfp3003.png

(b) Spectral and cumulative thermal conductivity w.r.t MFP

Force constants

../../_images/fig_fc3232.png

(a) Force constants w.r.t atomic distance

Summary

../../_images/fig_kappa5741.png

(a) Temperature-dependent lattice thermal conductivity

../../_images/fig_times12828.png

(b) Computation time