mp-567398/Sr3MgGeN4/anharm

Harmonic properties

../../_images/fig_bandos_pr7162.png

(a) Phonon dispersion with participation ratio and DOS

../../_images/fig_thermo7162.png

(b) Thermodynamic properties

Grüneisen parameters

../../_images/fig_gru_all2999.png

(a) Grüneisen parameters

../../_images/fig_gruneisen2999.png

(b) Phonon dispersion with Grüneisen parameters

Thermal conductivity

3-phonon (LASSO) — q-mesh: 12x6x7, supercell: 2x1x2

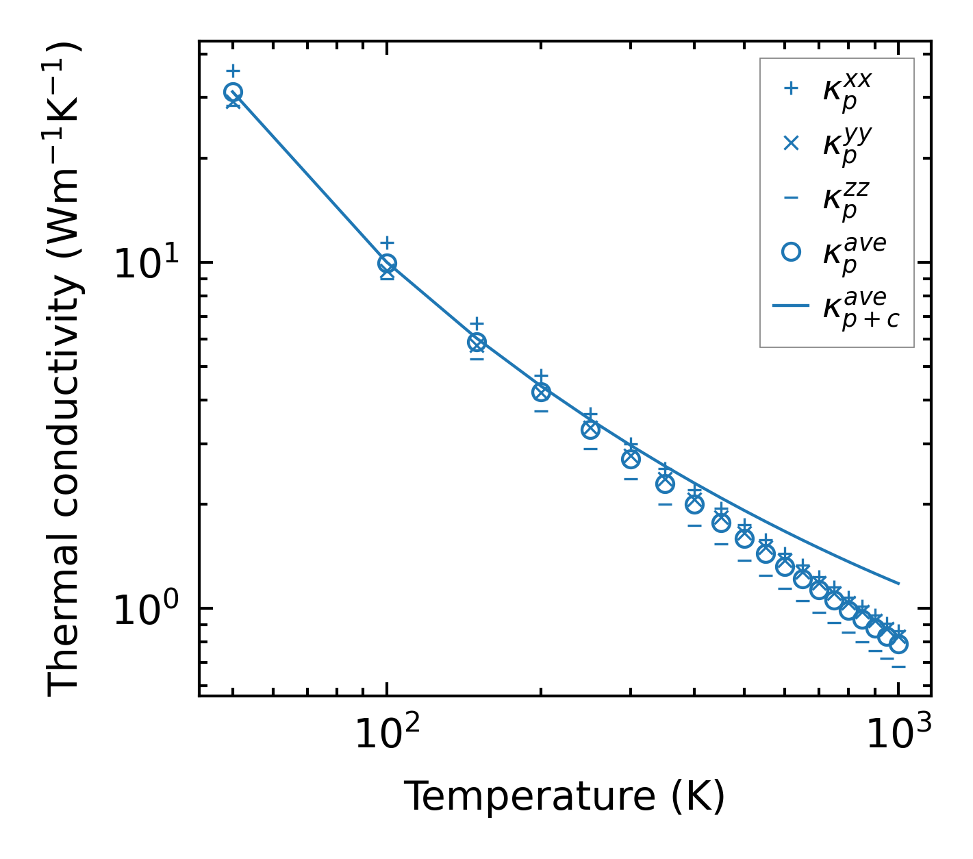
../../_images/fig_kappa5684.png

(a) Temperature-dependent lattice thermal conductivity

../../_images/fig_kappa_vs_grain_size3041.png

(b) Peierls lattice thermal conductivity w.r.t grain size

Phonon lifetime and scattering rates

../../_images/fig_lifetime2974.png

(a) Phonon lifetime due to phonon-phonon scattering

../../_images/fig_scat_rates2973.png

(b) Phonon scattering rates

Cumulative and spectral thermal conductivity

../../_images/fig_cumu_frequency2974.png

(a) Spectral and cumulative thermal conductivity w.r.t frequency

../../_images/fig_cumu_mfp2973.png

(b) Spectral and cumulative thermal conductivity w.r.t MFP

Force constants

../../_images/fig_fc26933.png

(a) Force constants w.r.t atomic distance

Summary

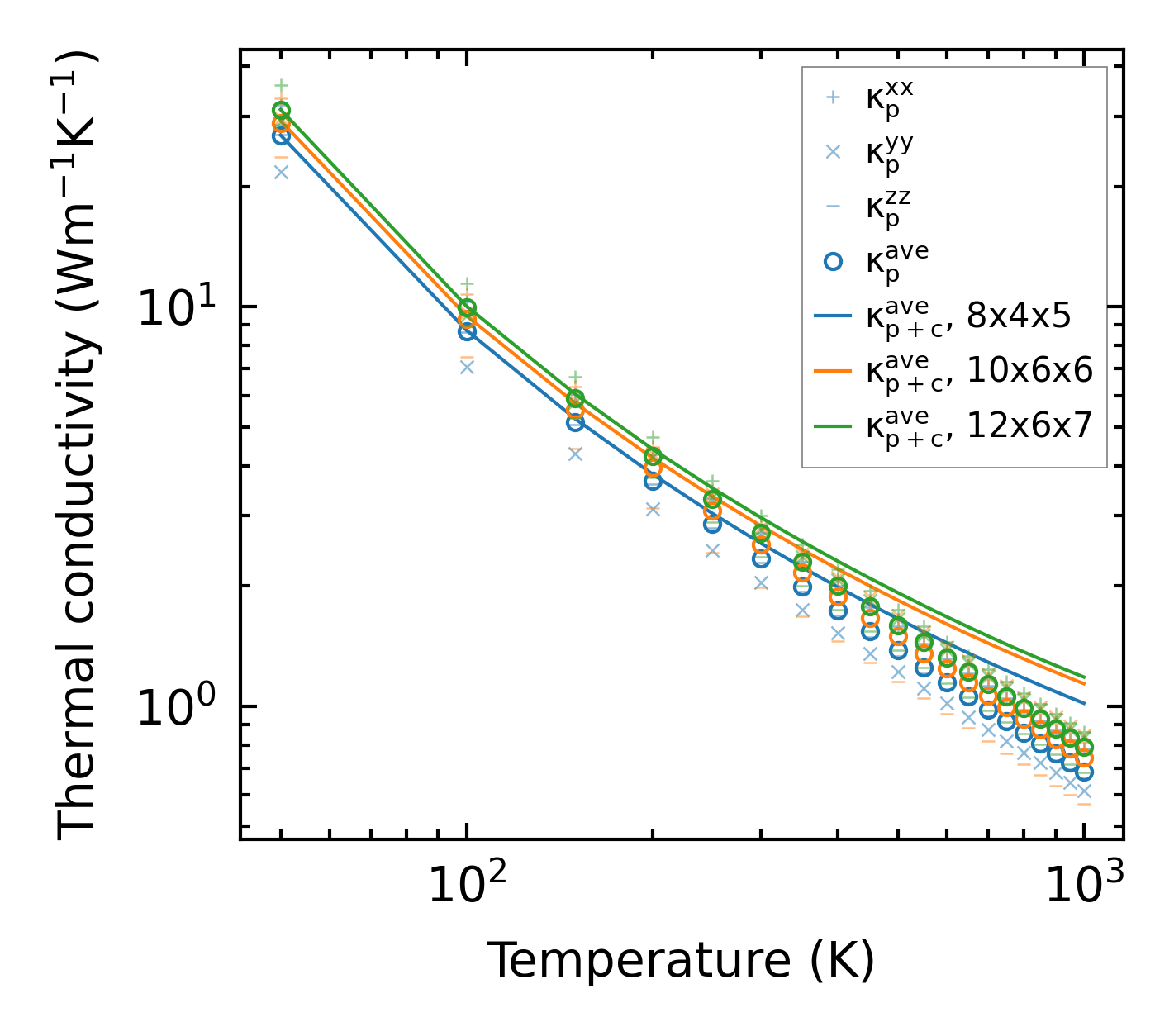
../../_images/fig_kappa5685.png

(a) Temperature-dependent lattice thermal conductivity

../../_images/fig_times12760.png

(b) Computation time