mp-567259/CdI2/anharm

Harmonic properties

../../_images/fig_bandos_pr7147.png

(a) Phonon dispersion with participation ratio and DOS

../../_images/fig_thermo7147.png

(b) Thermodynamic properties

Grüneisen parameters

../../_images/fig_gru_all2988.png

(a) Grüneisen parameters

../../_images/fig_gruneisen2988.png

(b) Phonon dispersion with Grüneisen parameters

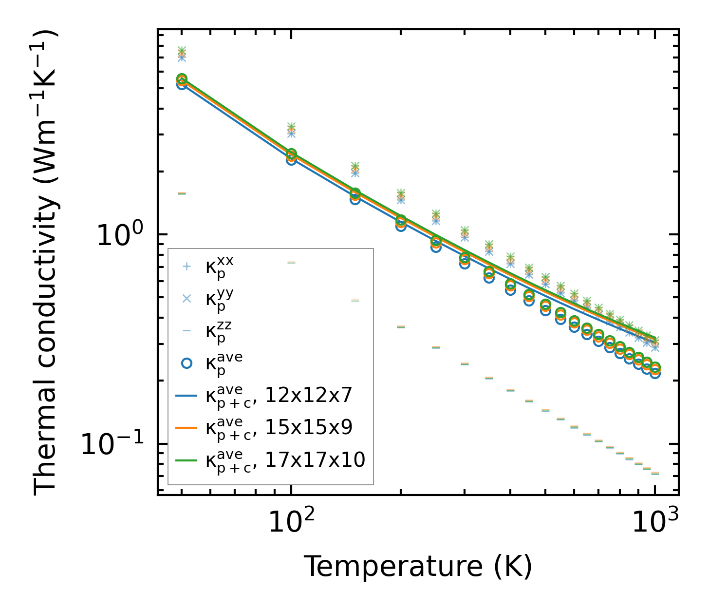
Thermal conductivity

3-phonon (LASSO) — q-mesh: 17x17x10, supercell: 4x4x3

../../_images/fig_kappa5665.png

(a) Temperature-dependent lattice thermal conductivity

../../_images/fig_kappa_vs_grain_size3030.png

(b) Peierls lattice thermal conductivity w.r.t grain size

Phonon lifetime and scattering rates

../../_images/fig_lifetime2963.png

(a) Phonon lifetime due to phonon-phonon scattering

../../_images/fig_scat_rates2962.png

(b) Phonon scattering rates

Cumulative and spectral thermal conductivity

../../_images/fig_cumu_frequency2963.png

(a) Spectral and cumulative thermal conductivity w.r.t frequency

../../_images/fig_cumu_mfp2962.png

(b) Spectral and cumulative thermal conductivity w.r.t MFP

Force constants

../../_images/fig_fc26918.png

(a) Force constants w.r.t atomic distance

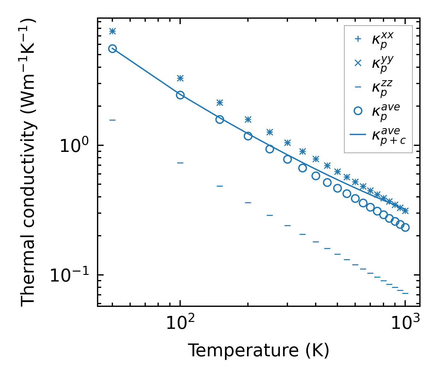
Summary

../../_images/fig_kappa5666.png

(a) Temperature-dependent lattice thermal conductivity

../../_images/fig_times12739.png

(b) Computation time