mp-567290-2/LaN/anharm

Equation of state

../../_images/fig_bm3794.png

(a) Equation of state

Harmonic properties

../../_images/fig_bandos_pr7150.png

(a) Phonon dispersion with participation ratio and DOS

../../_images/fig_bandos10140.png

(b) Phonon dispersion and DOS

../../_images/fig_thermo7150.png

(c) Thermodynamic properties

Grüneisen parameters

../../_images/fig_gru_all2989.png

(a) Grüneisen parameters

../../_images/fig_gruneisen2989.png

(b) Phonon dispersion with Grüneisen parameters

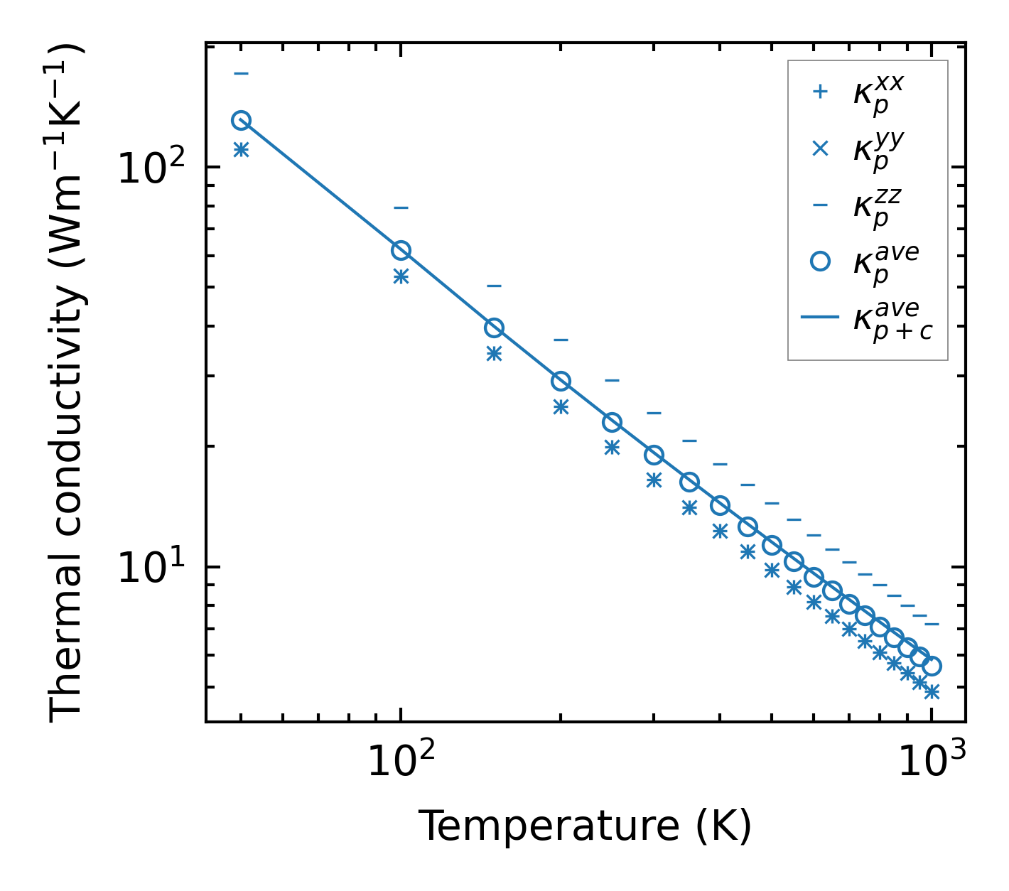
Thermal conductivity

3-phonon (LASSO), supercell 4x4x3 — q-mesh: 18x18x12, supercell: 4x4x3

../../_images/fig_kappa5667.png

(a) Temperature-dependent lattice thermal conductivity

../../_images/fig_kappa_vs_grain_size3031.png

(b) Peierls lattice thermal conductivity w.r.t grain size

Phonon lifetime and scattering rates

../../_images/fig_lifetime2964.png

(a) Phonon lifetime due to phonon-phonon scattering

../../_images/fig_scat_rates2963.png

(b) Phonon scattering rates

Cumulative and spectral thermal conductivity

../../_images/fig_cumu_frequency2964.png

(a) Spectral and cumulative thermal conductivity w.r.t frequency

../../_images/fig_cumu_mfp2963.png

(b) Spectral and cumulative thermal conductivity w.r.t MFP

Force constants

../../_images/fig_fc26921.png

(a) Force constants w.r.t atomic distance

Summary

../../_images/fig_times12744.png

(a) Computation time