mp-567424/K8NbAs5Pb/anharm

Harmonic properties

../../_images/fig_bandos_pr7163.png

(a) Phonon dispersion with participation ratio and DOS

../../_images/fig_thermo7163.png

(b) Thermodynamic properties

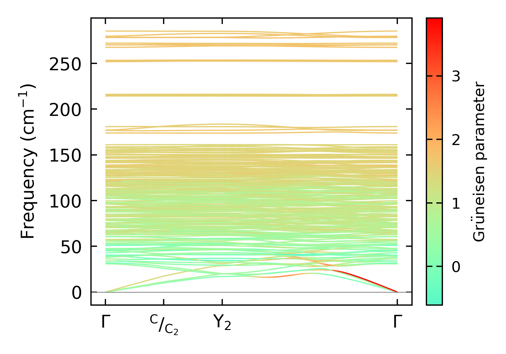
Grüneisen parameters

../../_images/fig_gru_all3000.png

(a) Grüneisen parameters

../../_images/fig_gruneisen3000.png

(b) Phonon dispersion with Grüneisen parameters

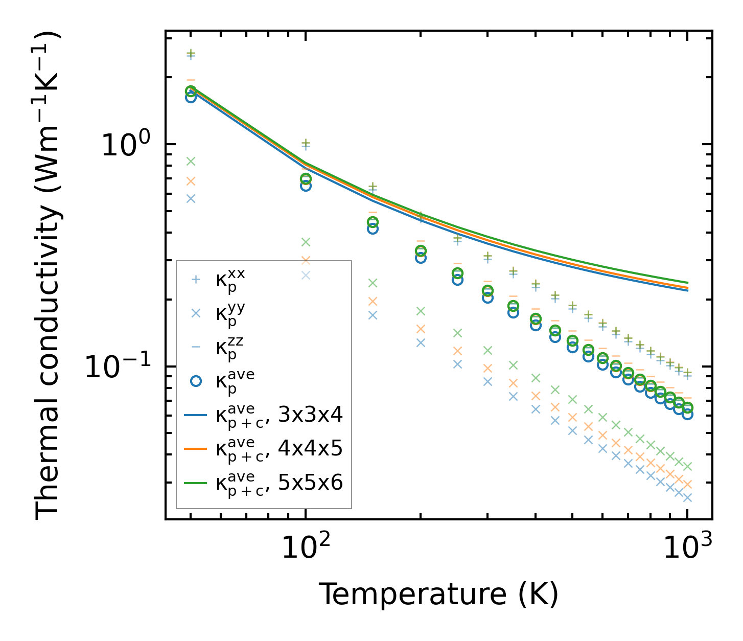
Thermal conductivity

3-phonon (LASSO) — q-mesh: 5x5x6, supercell: 1x1x1

../../_images/fig_kappa5686.png

(a) Temperature-dependent lattice thermal conductivity

../../_images/fig_kappa_vs_grain_size3042.png

(b) Peierls lattice thermal conductivity w.r.t grain size

Phonon lifetime and scattering rates

../../_images/fig_lifetime2975.png

(a) Phonon lifetime due to phonon-phonon scattering

../../_images/fig_scat_rates2974.png

(b) Phonon scattering rates

Cumulative and spectral thermal conductivity

../../_images/fig_cumu_frequency2975.png

(a) Spectral and cumulative thermal conductivity w.r.t frequency

../../_images/fig_cumu_mfp2974.png

(b) Spectral and cumulative thermal conductivity w.r.t MFP

Force constants

../../_images/fig_fc26934.png

(a) Force constants w.r.t atomic distance

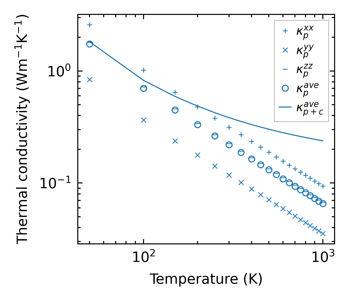
Summary

../../_images/fig_kappa5687.png

(a) Temperature-dependent lattice thermal conductivity

../../_images/fig_times12763.png

(b) Computation time