mp-567702/CsReCl4/anharm

Harmonic properties

../../_images/fig_bandos_pr7193.png

(a) Phonon dispersion with participation ratio and DOS

../../_images/fig_thermo7193.png

(b) Thermodynamic properties

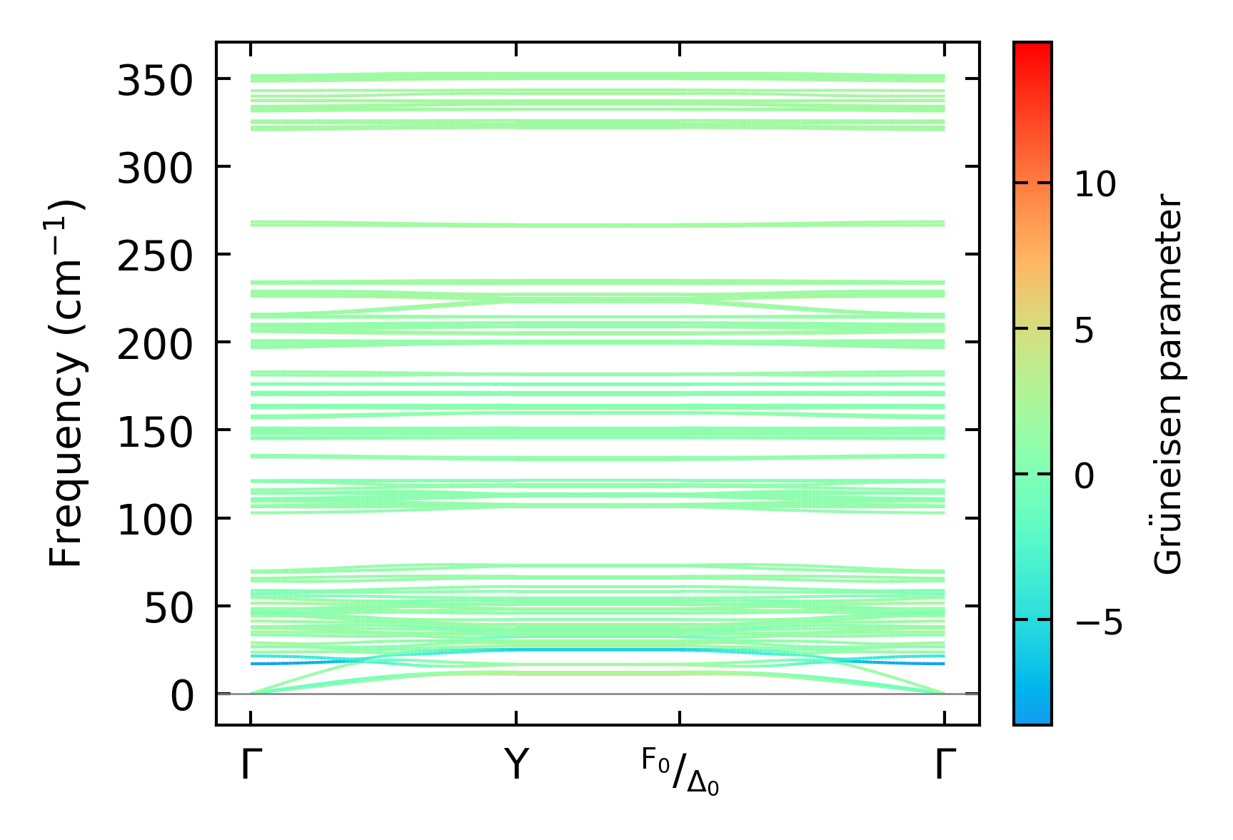
Grüneisen parameters

../../_images/fig_gru_all3019.png

(a) Grüneisen parameters

../../_images/fig_gruneisen3019.png

(b) Phonon dispersion with Grüneisen parameters

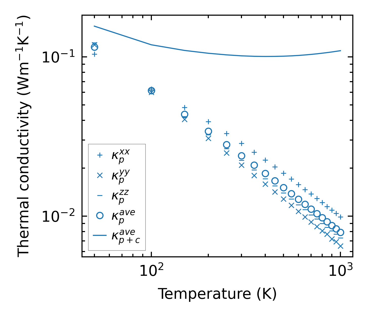
Thermal conductivity

3-phonon (LASSO) — q-mesh: 6x7x7, supercell: 2x1x1

../../_images/fig_kappa5721.png

(a) Temperature-dependent lattice thermal conductivity

../../_images/fig_kappa_vs_grain_size3062.png

(b) Peierls lattice thermal conductivity w.r.t grain size

Phonon lifetime and scattering rates

../../_images/fig_lifetime2994.png

(a) Phonon lifetime due to phonon-phonon scattering

../../_images/fig_scat_rates2993.png

(b) Phonon scattering rates

Cumulative and spectral thermal conductivity

../../_images/fig_cumu_frequency2994.png

(a) Spectral and cumulative thermal conductivity w.r.t frequency

../../_images/fig_cumu_mfp2993.png

(b) Spectral and cumulative thermal conductivity w.r.t MFP

Force constants

../../_images/fig_fc26961.png

(a) Force constants w.r.t atomic distance

Summary

../../_images/fig_kappa5722.png

(a) Temperature-dependent lattice thermal conductivity

../../_images/fig_times12805.png

(b) Computation time