mp-567714/Rb2AgBr3/anharm

Harmonic properties

../../_images/fig_bandos_pr7196.png

(a) Phonon dispersion with participation ratio and DOS

../../_images/fig_thermo7196.png

(b) Thermodynamic properties

Grüneisen parameters

../../_images/fig_gru_all3021.png

(a) Grüneisen parameters

../../_images/fig_gruneisen3021.png

(b) Phonon dispersion with Grüneisen parameters

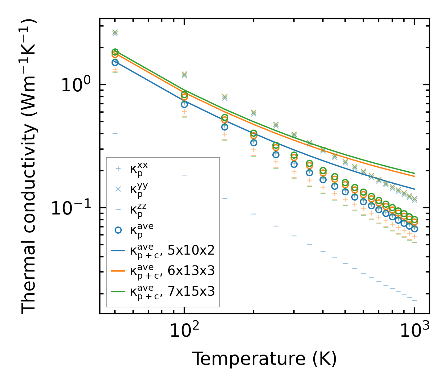
Thermal conductivity

3-phonon (LASSO) — q-mesh: 7x15x3, supercell: 2x3x1

../../_images/fig_kappa5725.png

(a) Temperature-dependent lattice thermal conductivity

../../_images/fig_kappa_vs_grain_size3064.png

(b) Peierls lattice thermal conductivity w.r.t grain size

Phonon lifetime and scattering rates

../../_images/fig_lifetime2996.png

(a) Phonon lifetime due to phonon-phonon scattering

../../_images/fig_scat_rates2995.png

(b) Phonon scattering rates

Cumulative and spectral thermal conductivity

../../_images/fig_cumu_frequency2996.png

(a) Spectral and cumulative thermal conductivity w.r.t frequency

../../_images/fig_cumu_mfp2995.png

(b) Spectral and cumulative thermal conductivity w.r.t MFP

Force constants

../../_images/fig_fc26964.png

(a) Force constants w.r.t atomic distance

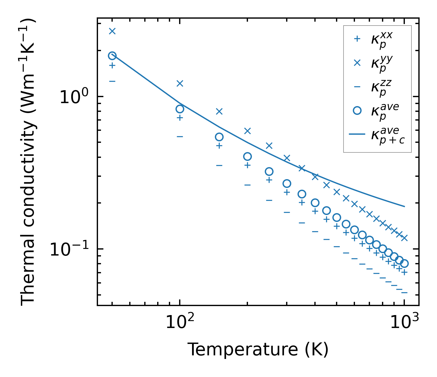
Summary

../../_images/fig_kappa5726.png

(a) Temperature-dependent lattice thermal conductivity

../../_images/fig_times12808.png

(b) Computation time