mp-567196/Cs3Sb2Cl9/anharm

Equation of state

../../_images/fig_bm3790.png

(a) Equation of state

Harmonic properties

../../_images/fig_bandos_pr7140.png

(a) Phonon dispersion with participation ratio and DOS

../../_images/fig_thermo7140.png

(b) Thermodynamic properties

Grüneisen parameters

../../_images/fig_gru_all2983.png

(a) Grüneisen parameters

../../_images/fig_gruneisen2983.png

(b) Phonon dispersion with Grüneisen parameters

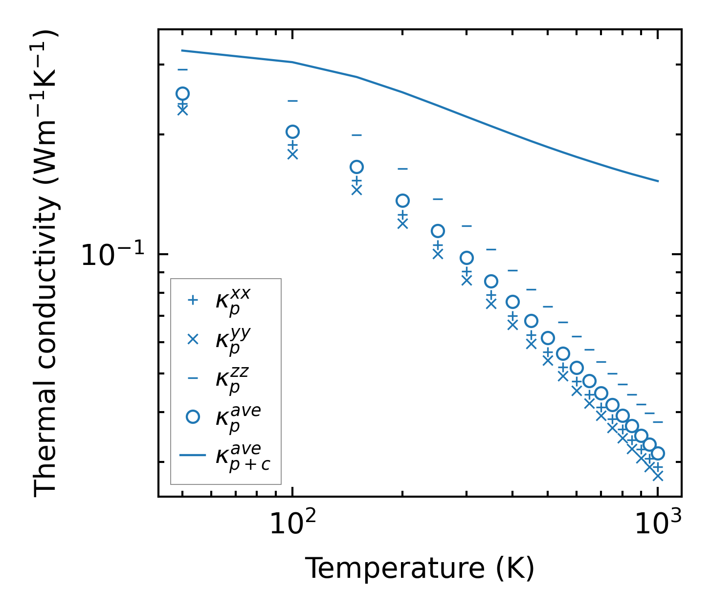
Thermal conductivity

3-phonon (LASSO) — q-mesh: 9x9x8, supercell: 2x2x2

../../_images/fig_kappa5655.png

(a) Temperature-dependent lattice thermal conductivity

../../_images/fig_kappa_vs_grain_size3025.png

(b) Peierls lattice thermal conductivity w.r.t grain size

Phonon lifetime and scattering rates

../../_images/fig_lifetime2958.png

(a) Phonon lifetime due to phonon-phonon scattering

../../_images/fig_scat_rates2957.png

(b) Phonon scattering rates

Cumulative and spectral thermal conductivity

../../_images/fig_cumu_frequency2958.png

(a) Spectral and cumulative thermal conductivity w.r.t frequency

../../_images/fig_cumu_mfp2957.png

(b) Spectral and cumulative thermal conductivity w.r.t MFP

Force constants

../../_images/fig_fc26911.png

(a) Force constants w.r.t atomic distance

Summary

../../_images/fig_kappa5656.png

(a) Temperature-dependent lattice thermal conductivity

../../_images/fig_times12731.png

(b) Computation time