mp-567666/Ba3BiN/anharm

Harmonic properties

../../_images/fig_bandos_pr7189.png

(a) Phonon dispersion with participation ratio and DOS

../../_images/fig_thermo7189.png

(b) Thermodynamic properties

Grüneisen parameters

../../_images/fig_gru_all3016.png

(a) Grüneisen parameters

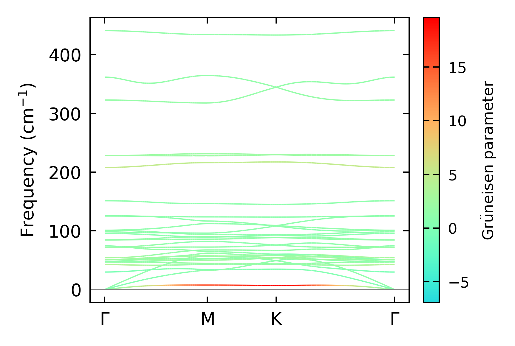
../../_images/fig_gruneisen3016.png

(b) Phonon dispersion with Grüneisen parameters

Thermal conductivity

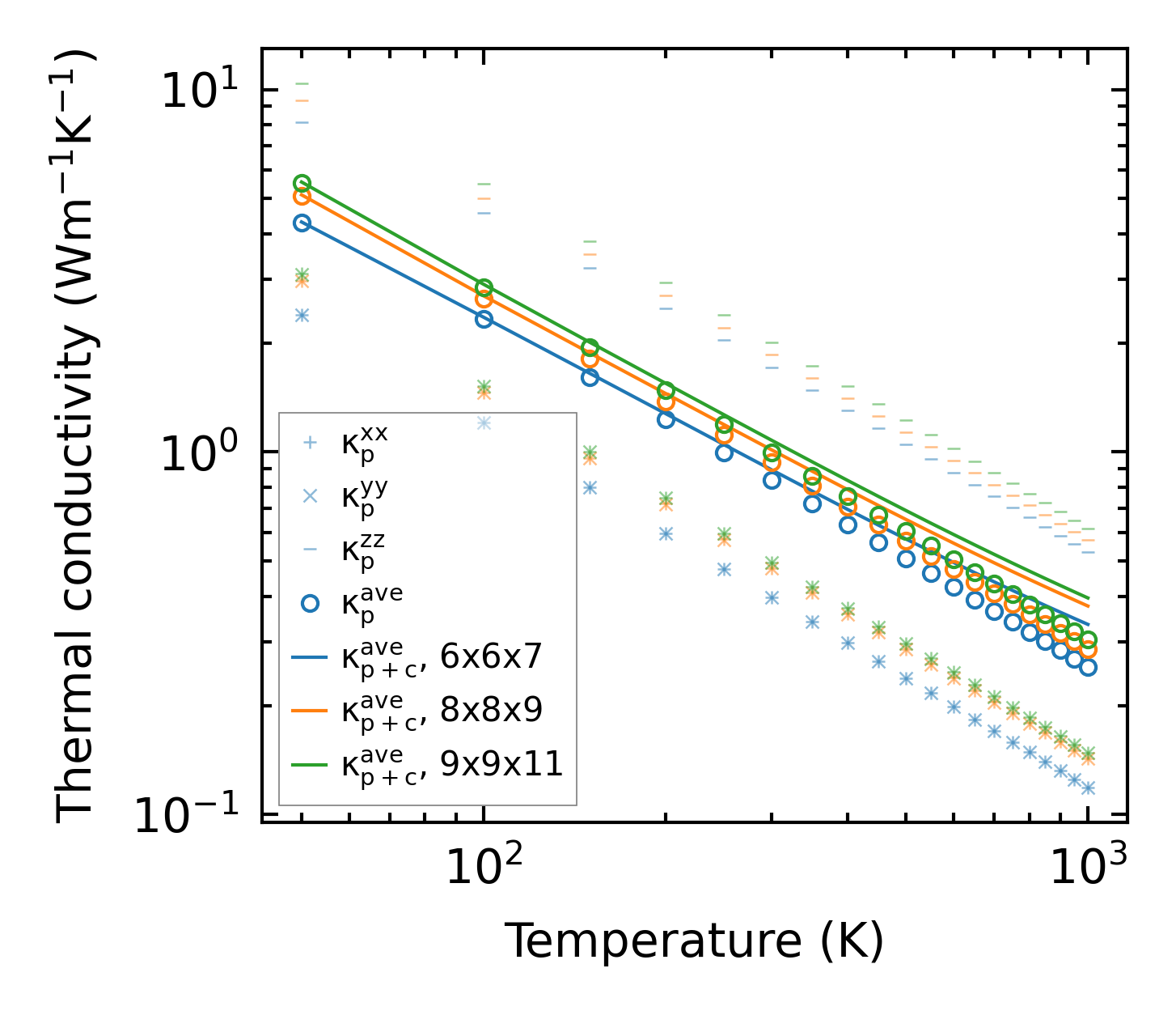
3-phonon (LASSO) — q-mesh: 9x9x11, supercell: 2x2x3

../../_images/fig_kappa5716.png

(a) Temperature-dependent lattice thermal conductivity

../../_images/fig_kappa_vs_grain_size3059.png

(b) Peierls lattice thermal conductivity w.r.t grain size

Phonon lifetime and scattering rates

../../_images/fig_lifetime2991.png

(a) Phonon lifetime due to phonon-phonon scattering

../../_images/fig_scat_rates2990.png

(b) Phonon scattering rates

Cumulative and spectral thermal conductivity

../../_images/fig_cumu_frequency2991.png

(a) Spectral and cumulative thermal conductivity w.r.t frequency

../../_images/fig_cumu_mfp2990.png

(b) Spectral and cumulative thermal conductivity w.r.t MFP

Force constants

../../_images/fig_fc26957.png

(a) Force constants w.r.t atomic distance

Summary

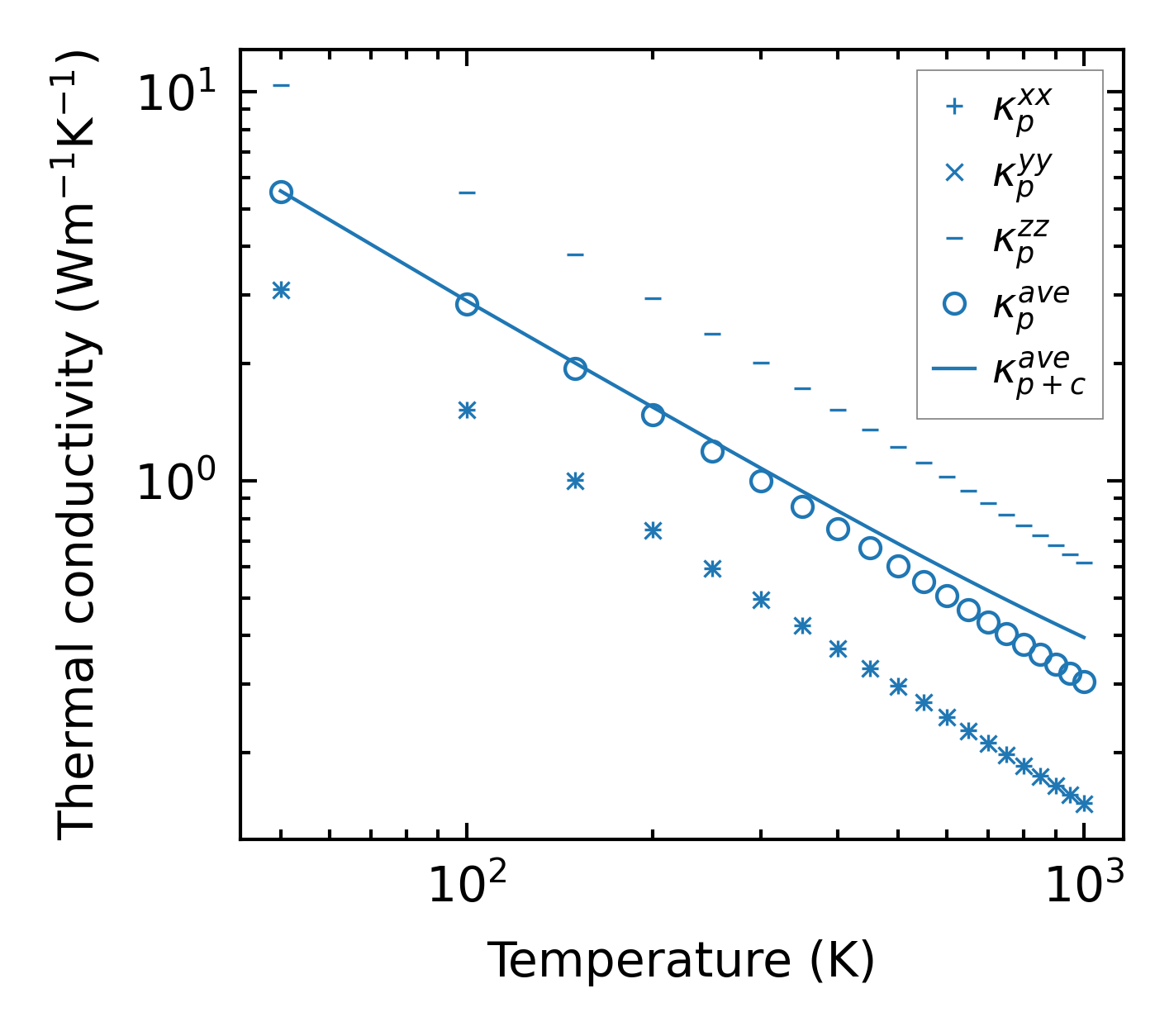
../../_images/fig_kappa5717.png

(a) Temperature-dependent lattice thermal conductivity

../../_images/fig_times12800.png

(b) Computation time