mp-567568/SrCa2WN4/anharm

Harmonic properties

../../_images/fig_bandos_pr7179.png

(a) Phonon dispersion with participation ratio and DOS

../../_images/fig_thermo7179.png

(b) Thermodynamic properties

Grüneisen parameters

../../_images/fig_gru_all3008.png

(a) Grüneisen parameters

../../_images/fig_gruneisen3008.png

(b) Phonon dispersion with Grüneisen parameters

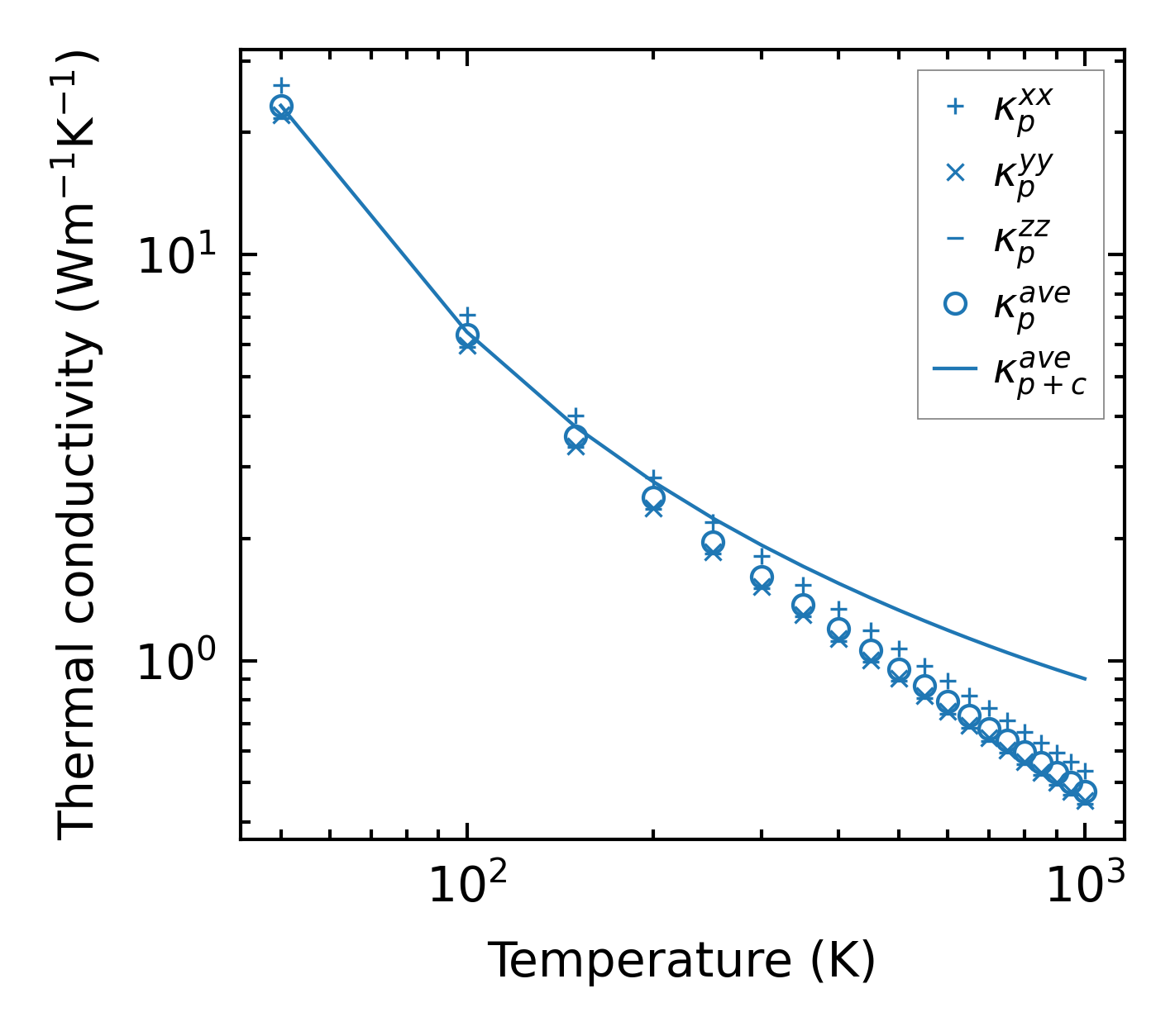
Thermal conductivity

3-phonon (LASSO) — q-mesh: 7x6x7, supercell: 2x1x1

../../_images/fig_kappa5701.png

(a) Temperature-dependent lattice thermal conductivity

../../_images/fig_kappa_vs_grain_size3051.png

(b) Peierls lattice thermal conductivity w.r.t grain size

Phonon lifetime and scattering rates

../../_images/fig_lifetime2983.png

(a) Phonon lifetime due to phonon-phonon scattering

../../_images/fig_scat_rates2982.png

(b) Phonon scattering rates

Cumulative and spectral thermal conductivity

../../_images/fig_cumu_frequency2983.png

(a) Spectral and cumulative thermal conductivity w.r.t frequency

../../_images/fig_cumu_mfp2982.png

(b) Spectral and cumulative thermal conductivity w.r.t MFP

Force constants

../../_images/fig_fc26949.png

(a) Force constants w.r.t atomic distance

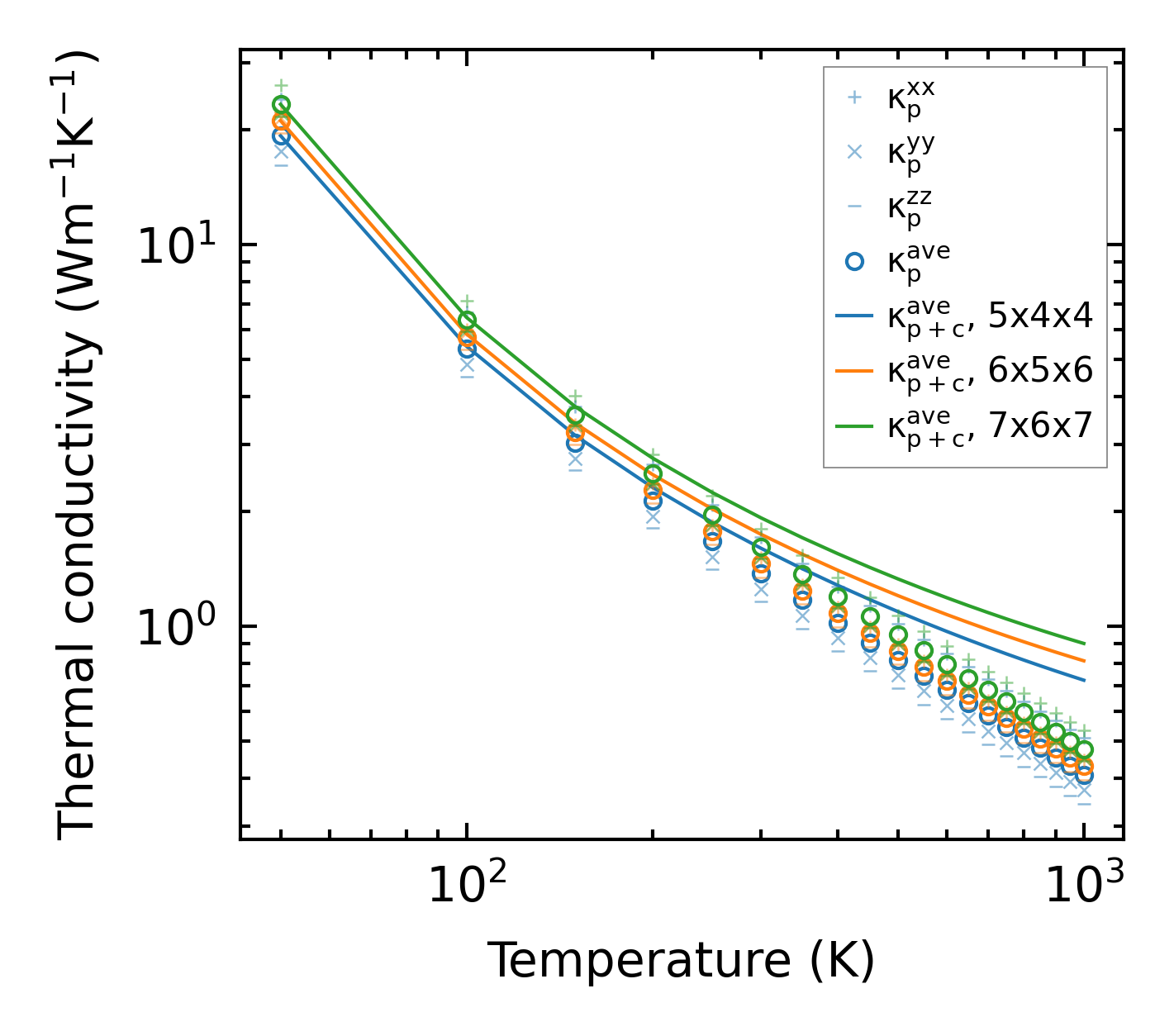
Summary

../../_images/fig_kappa5702.png

(a) Temperature-dependent lattice thermal conductivity

../../_images/fig_times12789.png

(b) Computation time