mp-567199/PbI2/anharm

Harmonic properties

../../_images/fig_bandos_pr7141.png

(a) Phonon dispersion with participation ratio and DOS

../../_images/fig_thermo7141.png

(b) Thermodynamic properties

Grüneisen parameters

../../_images/fig_gru_all2984.png

(a) Grüneisen parameters

../../_images/fig_gruneisen2984.png

(b) Phonon dispersion with Grüneisen parameters

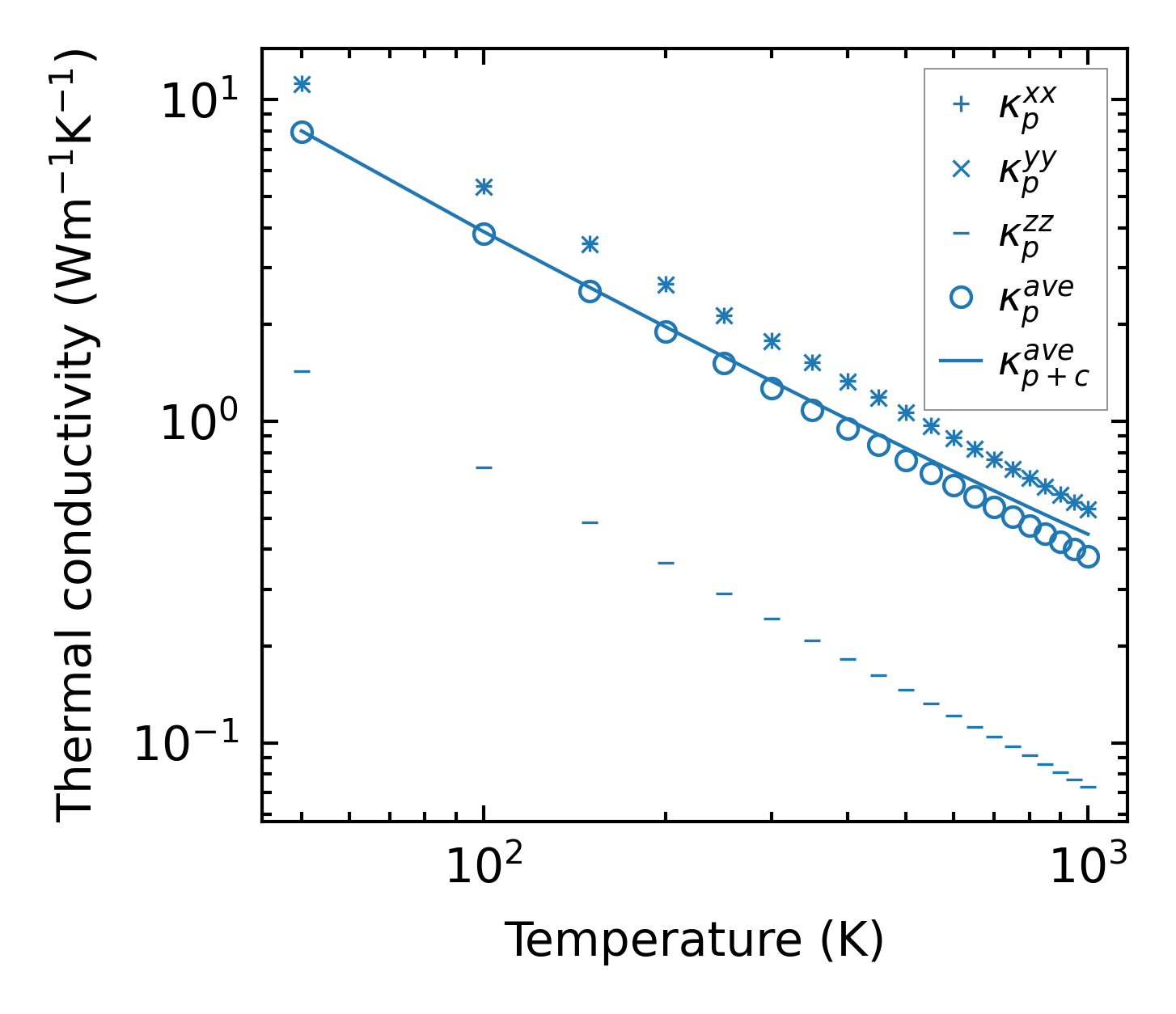
Thermal conductivity

3-phonon (LASSO) — q-mesh: 16x16x2, supercell: 3x3x1

../../_images/fig_kappa5657.png

(a) Temperature-dependent lattice thermal conductivity

../../_images/fig_kappa_vs_grain_size3026.png

(b) Peierls lattice thermal conductivity w.r.t grain size

Phonon lifetime and scattering rates

../../_images/fig_lifetime2959.png

(a) Phonon lifetime due to phonon-phonon scattering

../../_images/fig_scat_rates2958.png

(b) Phonon scattering rates

Cumulative and spectral thermal conductivity

../../_images/fig_cumu_frequency2959.png

(a) Spectral and cumulative thermal conductivity w.r.t frequency

../../_images/fig_cumu_mfp2958.png

(b) Spectral and cumulative thermal conductivity w.r.t MFP

Force constants

../../_images/fig_fc26912.png

(a) Force constants w.r.t atomic distance

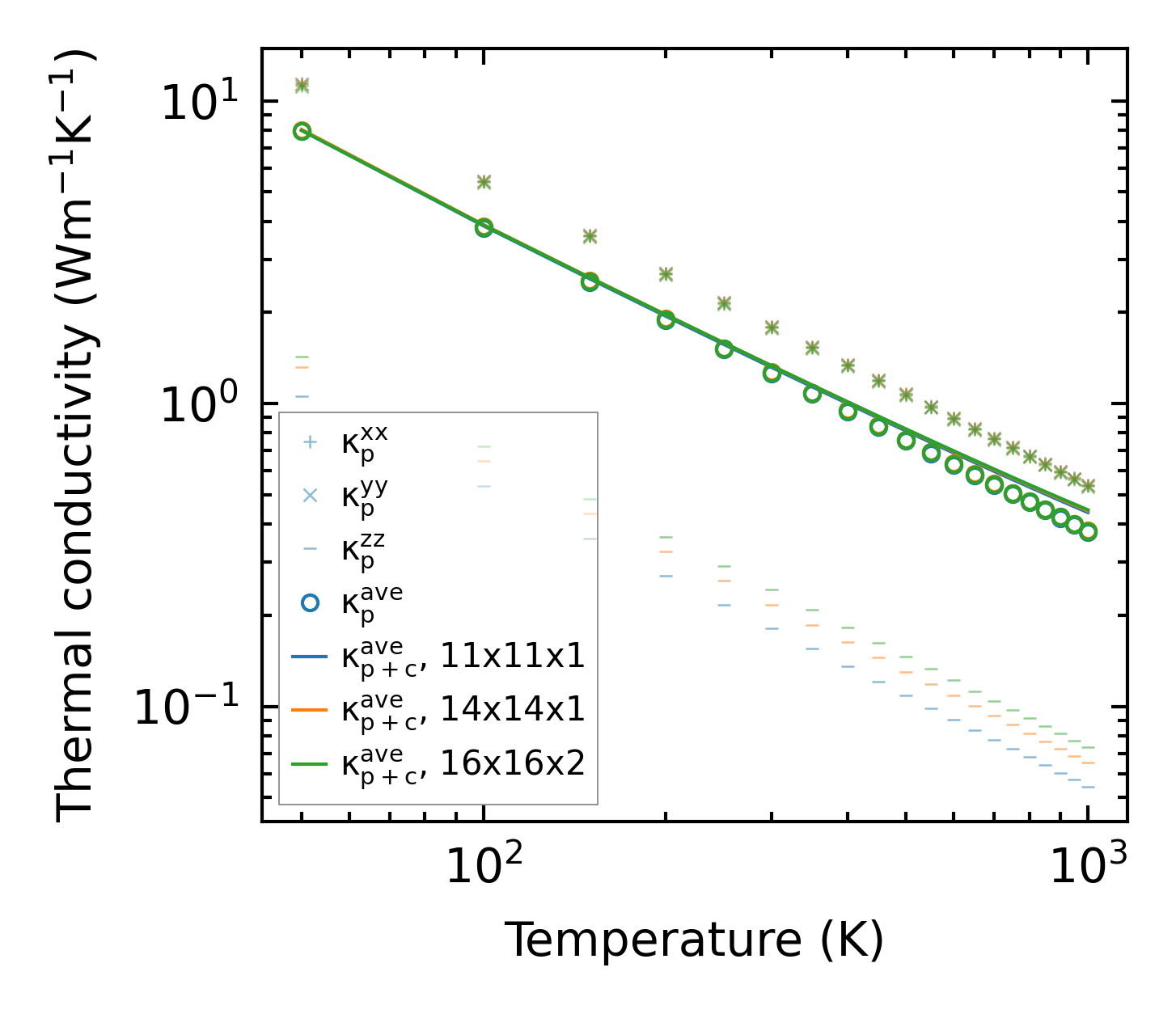
Summary

../../_images/fig_kappa5658.png

(a) Temperature-dependent lattice thermal conductivity

../../_images/fig_times12732.png

(b) Computation time