mp-567524/K3Ga3As4/anharm

Harmonic properties

../../_images/fig_bandos_pr7177.png

(a) Phonon dispersion with participation ratio and DOS

../../_images/fig_thermo7177.png

(b) Thermodynamic properties

Grüneisen parameters

../../_images/fig_gru_all3006.png

(a) Grüneisen parameters

../../_images/fig_gruneisen3006.png

(b) Phonon dispersion with Grüneisen parameters

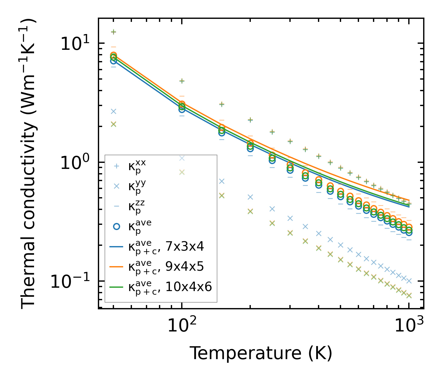
Thermal conductivity

3-phonon (LASSO) — q-mesh: 10x4x6, supercell: 2x1x1

../../_images/fig_kappa5697.png

(a) Temperature-dependent lattice thermal conductivity

../../_images/fig_kappa_vs_grain_size3049.png

(b) Peierls lattice thermal conductivity w.r.t grain size

Phonon lifetime and scattering rates

../../_images/fig_lifetime2981.png

(a) Phonon lifetime due to phonon-phonon scattering

../../_images/fig_scat_rates2980.png

(b) Phonon scattering rates

Cumulative and spectral thermal conductivity

../../_images/fig_cumu_frequency2981.png

(a) Spectral and cumulative thermal conductivity w.r.t frequency

../../_images/fig_cumu_mfp2980.png

(b) Spectral and cumulative thermal conductivity w.r.t MFP

Force constants

../../_images/fig_fc26947.png

(a) Force constants w.r.t atomic distance

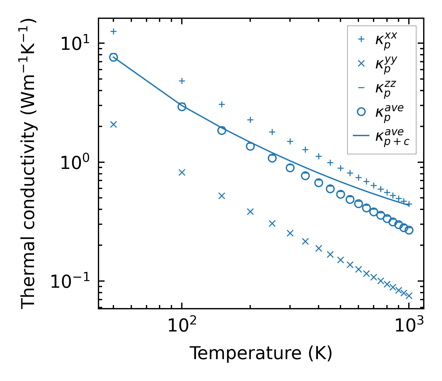
Summary

../../_images/fig_kappa5698.png

(a) Temperature-dependent lattice thermal conductivity

../../_images/fig_times12781.png

(b) Computation time