mp-567910/CdHg6As4Br6/anharm

Harmonic properties

../../_images/fig_bandos_pr7222.png

(a) Phonon dispersion with participation ratio and DOS

../../_images/fig_thermo7222.png

(b) Thermodynamic properties

Grüneisen parameters

../../_images/fig_gru_all3034.png

(a) Grüneisen parameters

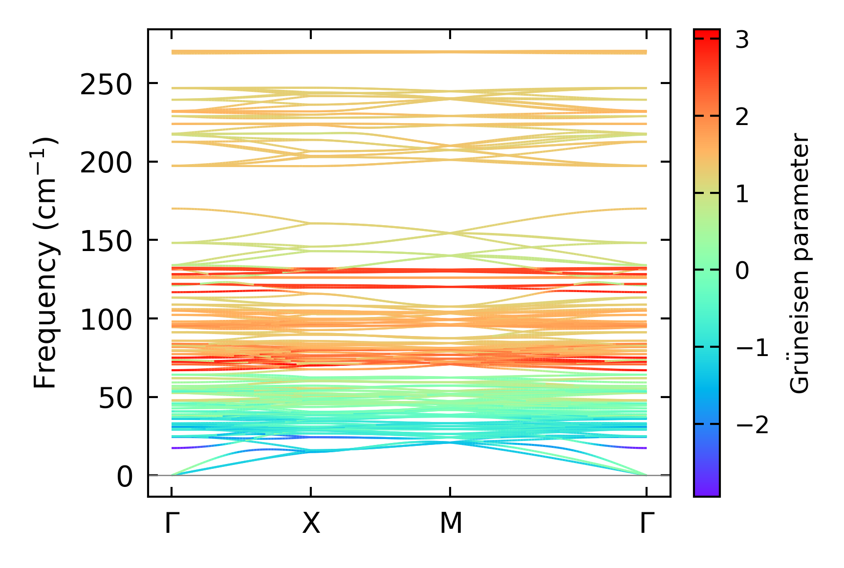
../../_images/fig_gruneisen3034.png

(b) Phonon dispersion with Grüneisen parameters

Thermal conductivity

3-phonon (LASSO) — q-mesh: 5x5x5, supercell: 1x1x1

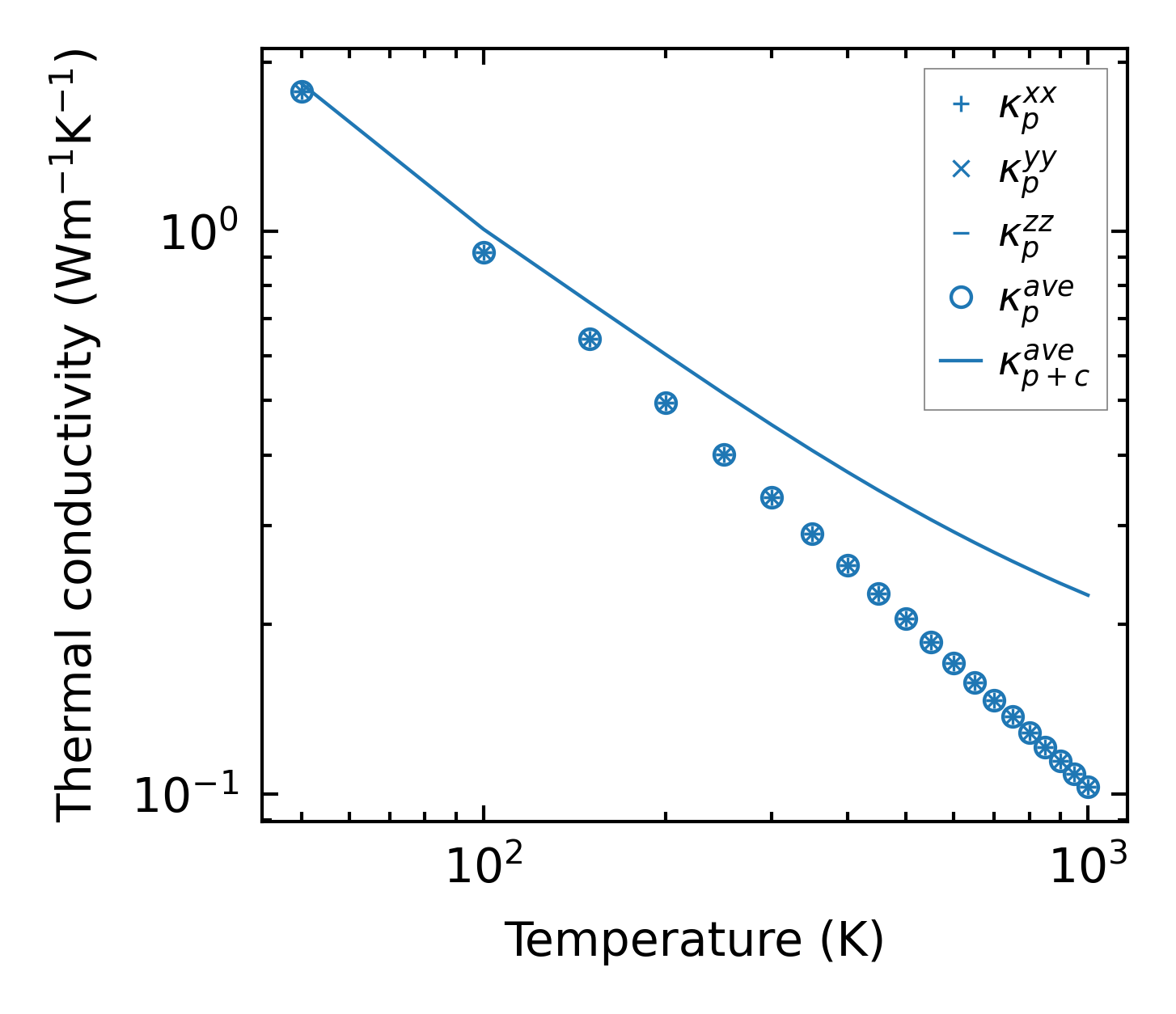
../../_images/fig_kappa5749.png

(a) Temperature-dependent lattice thermal conductivity

../../_images/fig_kappa_vs_grain_size3077.png

(b) Peierls lattice thermal conductivity w.r.t grain size

Phonon lifetime and scattering rates

../../_images/fig_lifetime3009.png

(a) Phonon lifetime due to phonon-phonon scattering

../../_images/fig_scat_rates3008.png

(b) Phonon scattering rates

Cumulative and spectral thermal conductivity

../../_images/fig_cumu_frequency3009.png

(a) Spectral and cumulative thermal conductivity w.r.t frequency

../../_images/fig_cumu_mfp3008.png

(b) Spectral and cumulative thermal conductivity w.r.t MFP

Force constants

../../_images/fig_fc26989.png

(a) Force constants w.r.t atomic distance

Summary

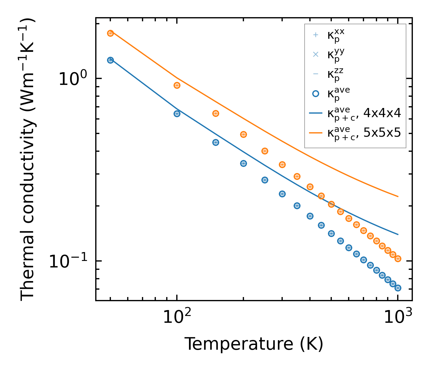
../../_images/fig_kappa5750.png

(a) Temperature-dependent lattice thermal conductivity

../../_images/fig_times12842.png

(b) Computation time