mp-567437/PdSe8Cl2/anharm

Equation of state

../../_images/fig_bm3802.png

(a) Equation of state

Harmonic properties

../../_images/fig_bandos_pr7166.png

(a) Phonon dispersion with participation ratio and DOS

../../_images/fig_bandos10154.png

(b) Phonon dispersion and DOS

../../_images/fig_thermo7166.png

(c) Thermodynamic properties

Grüneisen parameters

../../_images/fig_gru_all3001.png

(a) Grüneisen parameters

../../_images/fig_gruneisen3001.png

(b) Phonon dispersion with Grüneisen parameters

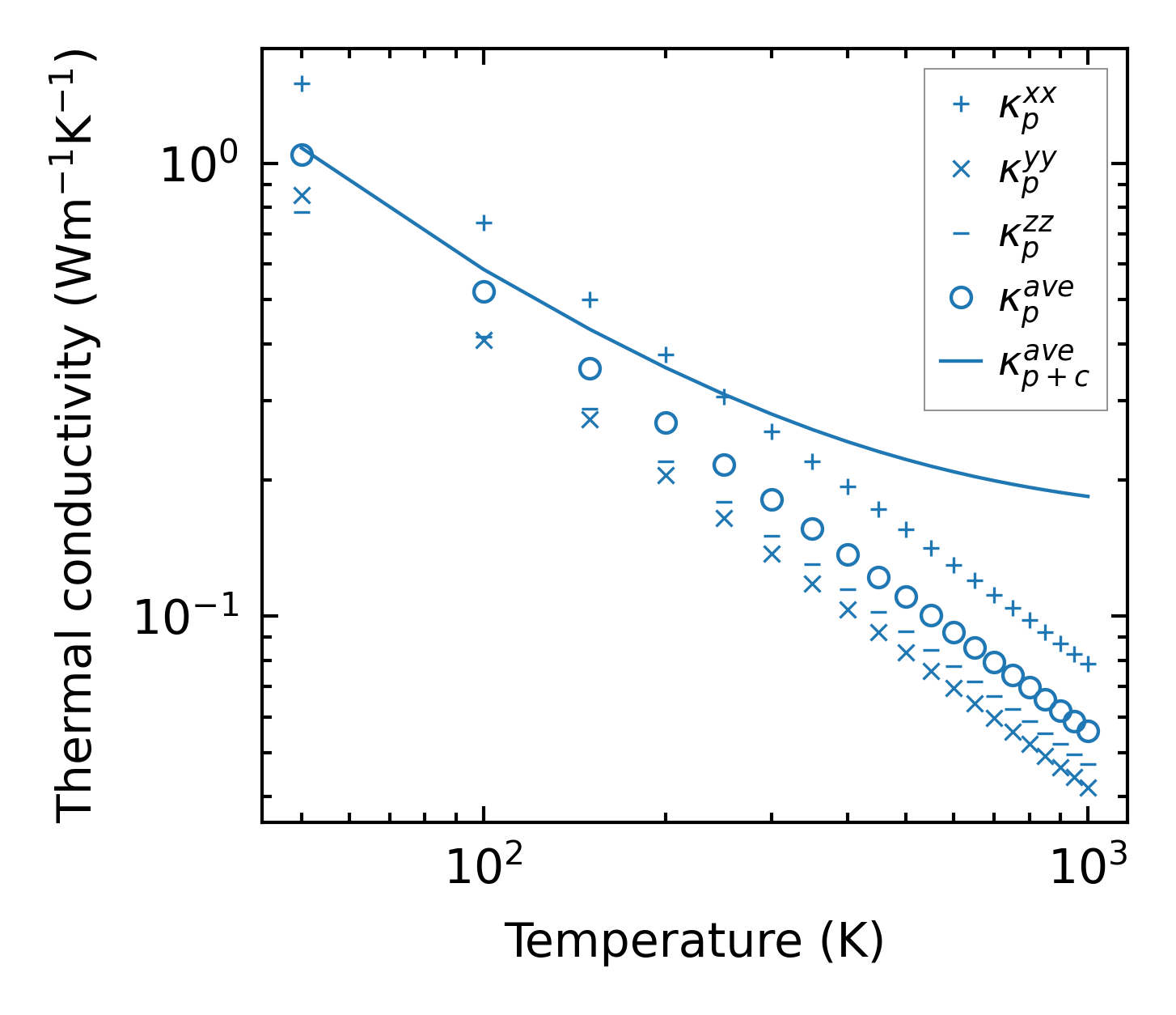
Thermal conductivity

3-phonon (LASSO) — q-mesh: 7x5x7, supercell: 2x1x1

../../_images/fig_kappa5688.png

(a) Temperature-dependent lattice thermal conductivity

../../_images/fig_kappa_vs_grain_size3043.png

(b) Peierls lattice thermal conductivity w.r.t grain size

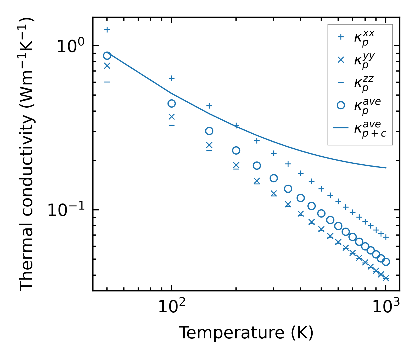
3-phonon (LASSO), supercell 2x1x2 — q-mesh: 7x5x7, supercell: 2x1x2

../../_images/fig_kappa5689.png

(a) Temperature-dependent lattice thermal conductivity

../../_images/fig_kappa_vs_grain_size3044.png

(b) Peierls lattice thermal conductivity w.r.t grain size

Phonon lifetime and scattering rates

../../_images/fig_lifetime2976.png

(a) Phonon lifetime due to phonon-phonon scattering

../../_images/fig_scat_rates2975.png

(b) Phonon scattering rates

Cumulative and spectral thermal conductivity

../../_images/fig_cumu_frequency2976.png

(a) Spectral and cumulative thermal conductivity w.r.t frequency

../../_images/fig_cumu_mfp2975.png

(b) Spectral and cumulative thermal conductivity w.r.t MFP

Force constants

../../_images/fig_fc26937.png

(a) Force constants w.r.t atomic distance

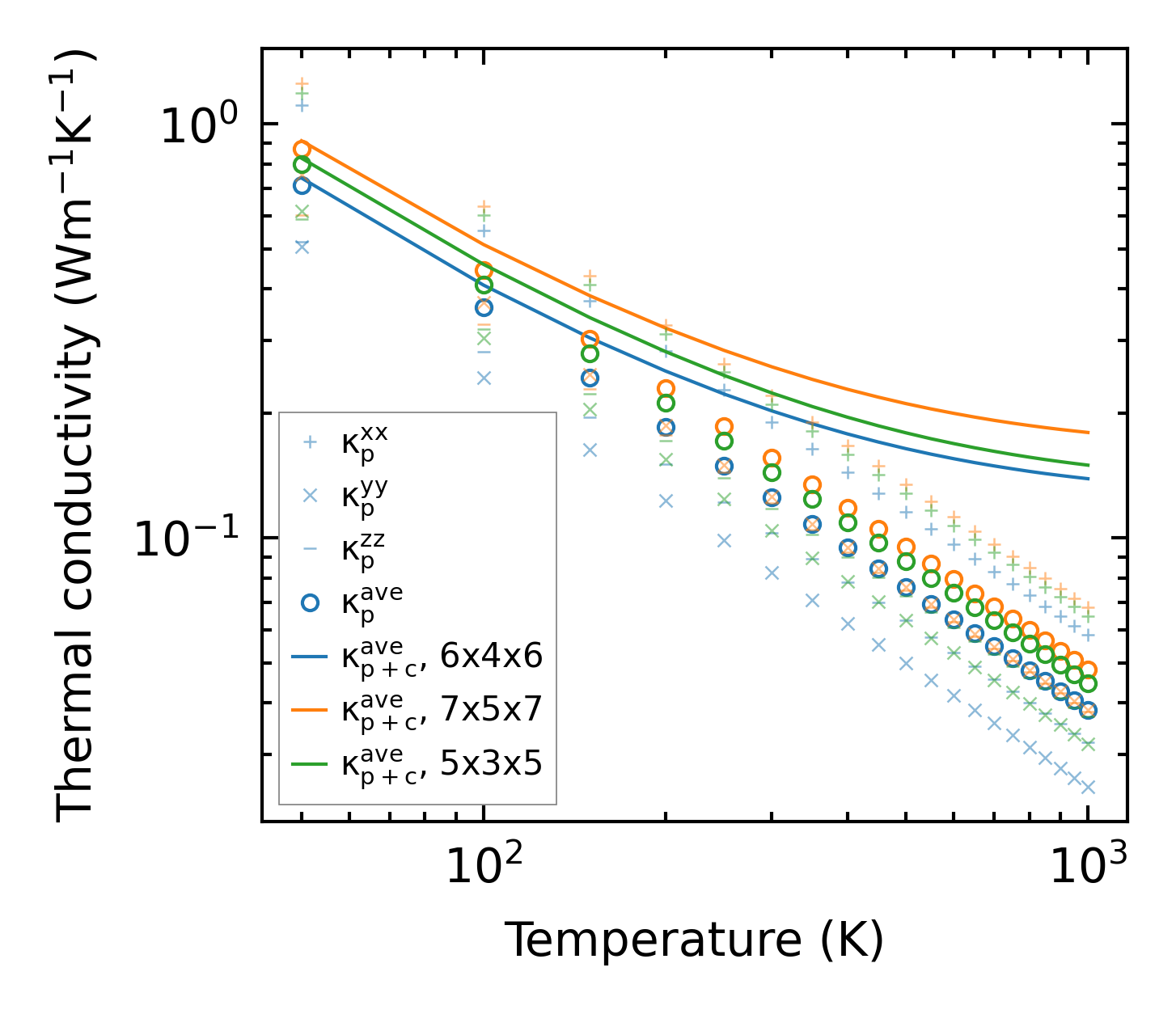
Summary

../../_images/fig_kappa5690.png

(a) Temperature-dependent lattice thermal conductivity

../../_images/fig_times12766.png

(b) Computation time