mp-567907/P3N5/anharm

Equation of state

../../_images/fig_bm3825.png

(a) Equation of state

Harmonic properties

../../_images/fig_bandos_pr7221.png

(a) Phonon dispersion with participation ratio and DOS

../../_images/fig_bandos10206.png

(b) Phonon dispersion and DOS

../../_images/fig_thermo7221.png

(c) Thermodynamic properties

Grüneisen parameters

../../_images/fig_gru_all3033.png

(a) Grüneisen parameters

../../_images/fig_gruneisen3033.png

(b) Phonon dispersion with Grüneisen parameters

Thermal conductivity

3-phonon (LASSO), supercell 2x2x2 — q-mesh: 15x15x8, supercell: 2x2x2

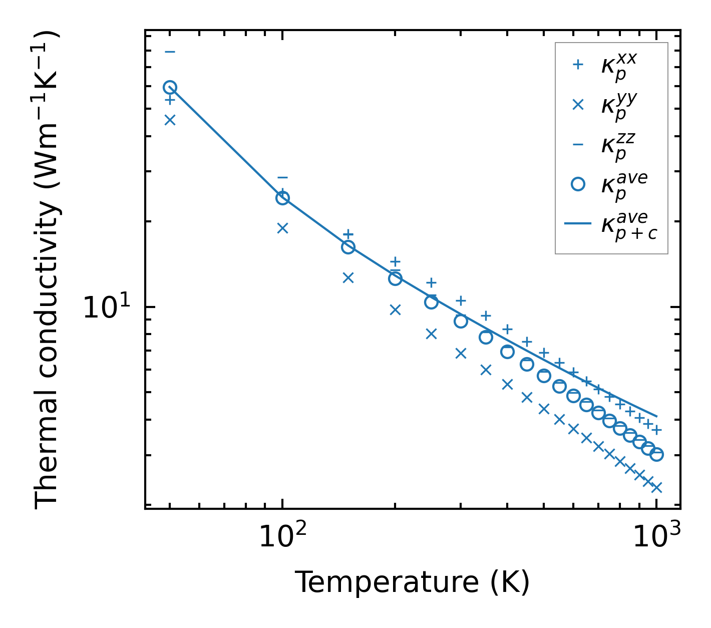
../../_images/fig_kappa5748.png

(a) Temperature-dependent lattice thermal conductivity

../../_images/fig_kappa_vs_grain_size3076.png

(b) Peierls lattice thermal conductivity w.r.t grain size

Phonon lifetime and scattering rates

../../_images/fig_lifetime3008.png

(a) Phonon lifetime due to phonon-phonon scattering

../../_images/fig_scat_rates3007.png

(b) Phonon scattering rates

Cumulative and spectral thermal conductivity

../../_images/fig_cumu_frequency3008.png

(a) Spectral and cumulative thermal conductivity w.r.t frequency

../../_images/fig_cumu_mfp3007.png

(b) Spectral and cumulative thermal conductivity w.r.t MFP

Force constants

../../_images/fig_fc26988.png

(a) Force constants w.r.t atomic distance

Summary

../../_images/fig_times12841.png

(a) Computation time