mp-567710/KPr3Te8/anharm

Harmonic properties

../../_images/fig_bandos_pr7194.png

(a) Phonon dispersion with participation ratio and DOS

../../_images/fig_thermo7194.png

(b) Thermodynamic properties

Grüneisen parameters

../../_images/fig_gru_all3020.png

(a) Grüneisen parameters

../../_images/fig_gruneisen3020.png

(b) Phonon dispersion with Grüneisen parameters

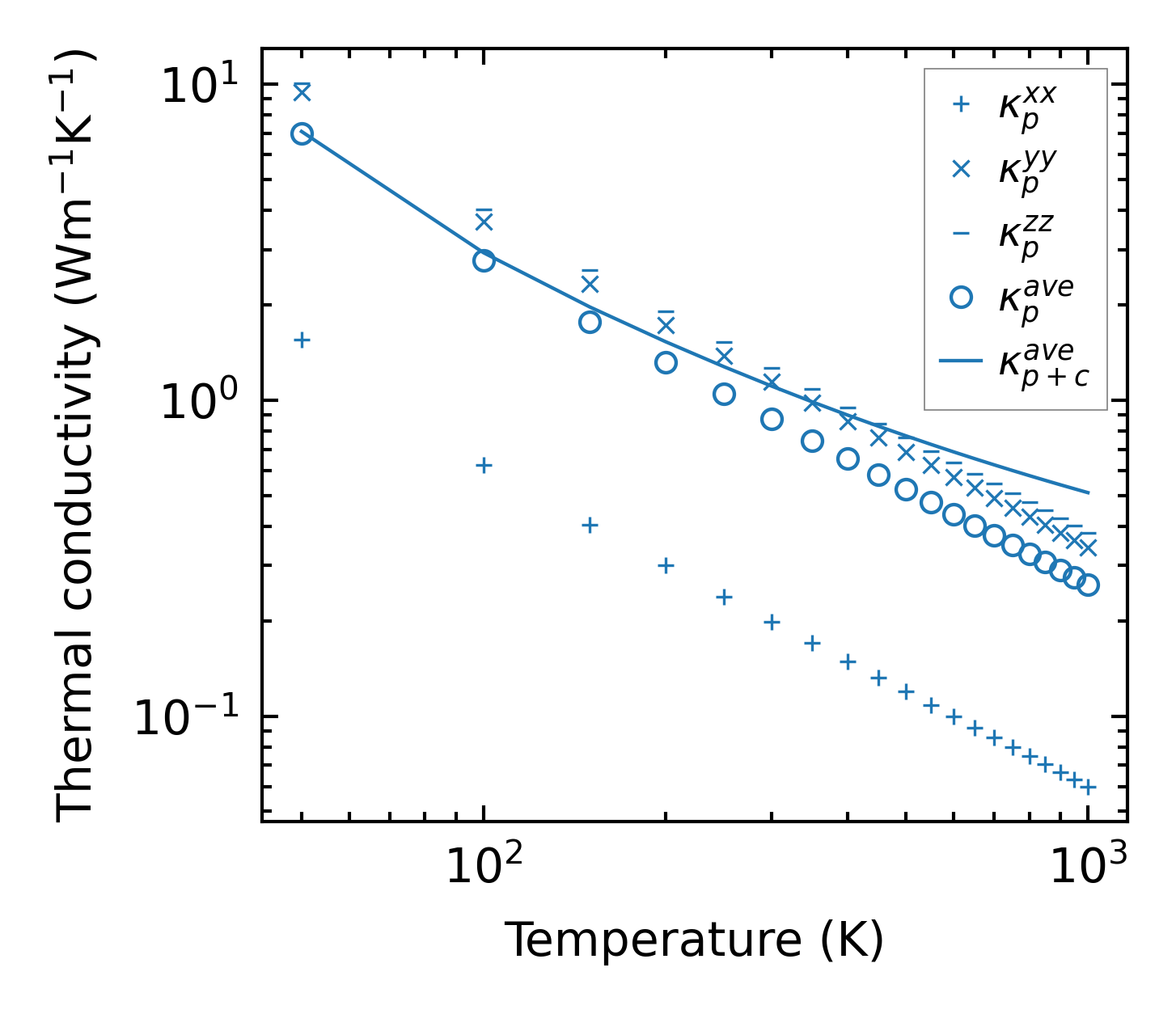
Thermal conductivity

3-phonon (LASSO) — q-mesh: 5x5x8, supercell: 1x1x2

../../_images/fig_kappa5723.png

(a) Temperature-dependent lattice thermal conductivity

../../_images/fig_kappa_vs_grain_size3063.png

(b) Peierls lattice thermal conductivity w.r.t grain size

Phonon lifetime and scattering rates

../../_images/fig_lifetime2995.png

(a) Phonon lifetime due to phonon-phonon scattering

../../_images/fig_scat_rates2994.png

(b) Phonon scattering rates

Cumulative and spectral thermal conductivity

../../_images/fig_cumu_frequency2995.png

(a) Spectral and cumulative thermal conductivity w.r.t frequency

../../_images/fig_cumu_mfp2994.png

(b) Spectral and cumulative thermal conductivity w.r.t MFP

Force constants

../../_images/fig_fc26962.png

(a) Force constants w.r.t atomic distance

Summary

../../_images/fig_kappa5724.png

(a) Temperature-dependent lattice thermal conductivity

../../_images/fig_times12806.png

(b) Computation time