mp-567652/Cs2LiYCl6/anharm

Harmonic properties

../../_images/fig_bandos_pr7186.png

(a) Phonon dispersion with participation ratio and DOS

../../_images/fig_thermo7186.png

(b) Thermodynamic properties

Grüneisen parameters

../../_images/fig_gru_all3013.png

(a) Grüneisen parameters

../../_images/fig_gruneisen3013.png

(b) Phonon dispersion with Grüneisen parameters

Thermal conductivity

3-phonon — q-mesh: 11x11x11, supercell: 1x1x1

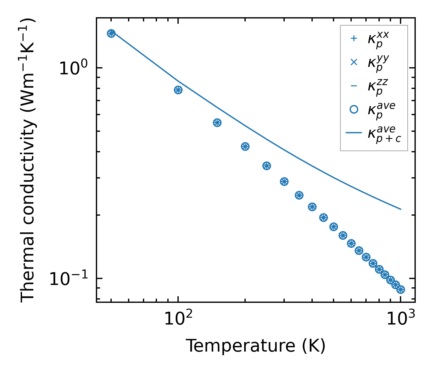
../../_images/fig_kappa5710.png

(a) Temperature-dependent lattice thermal conductivity

../../_images/fig_kappa_vs_grain_size3056.png

(b) Peierls lattice thermal conductivity w.r.t grain size

Phonon lifetime and scattering rates

../../_images/fig_lifetime2988.png

(a) Phonon lifetime due to phonon-phonon scattering

../../_images/fig_scat_rates2987.png

(b) Phonon scattering rates

Cumulative and spectral thermal conductivity

../../_images/fig_cumu_frequency2988.png

(a) Spectral and cumulative thermal conductivity w.r.t frequency

../../_images/fig_cumu_mfp2987.png

(b) Spectral and cumulative thermal conductivity w.r.t MFP

Force constants

../../_images/fig_fc3231.png

(a) Force constants w.r.t atomic distance

Summary

../../_images/fig_kappa5711.png

(a) Temperature-dependent lattice thermal conductivity

../../_images/fig_times12797.png

(b) Computation time