mp-567836-2/K2NaBP2/anharm

Equation of state

../../_images/fig_bm3821.png

(a) Equation of state

Harmonic properties

../../_images/fig_bandos_pr7214.png

(a) Phonon dispersion with participation ratio and DOS

../../_images/fig_bandos10198.png

(b) Phonon dispersion and DOS

../../_images/fig_thermo7214.png

(c) Thermodynamic properties

Grüneisen parameters

../../_images/fig_gru_all3030.png

(a) Grüneisen parameters

../../_images/fig_gruneisen3030.png

(b) Phonon dispersion with Grüneisen parameters

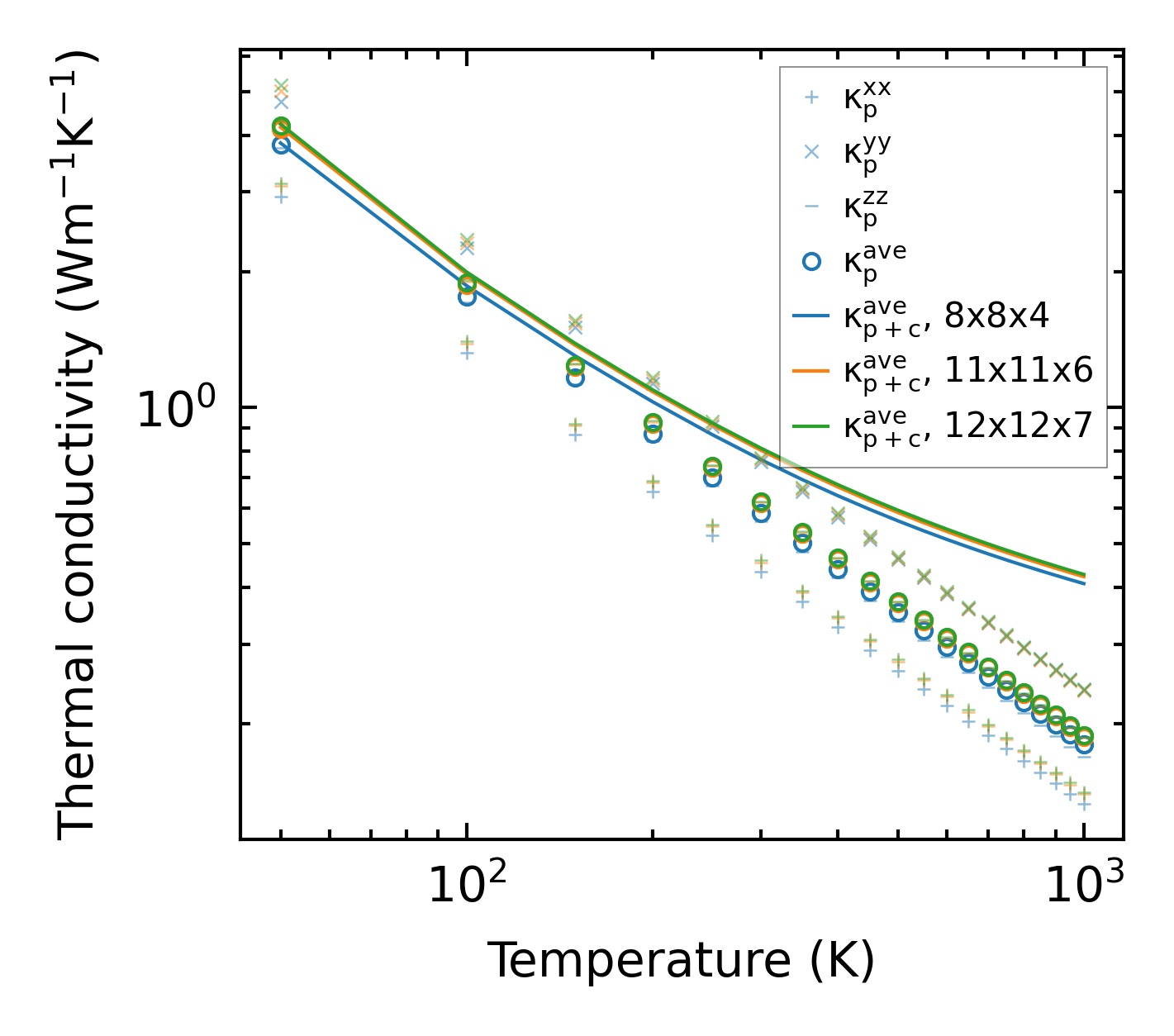
Thermal conductivity

3-phonon (LASSO) — q-mesh: 12x12x7, supercell: 1x3x2

../../_images/fig_kappa5742.png

(a) Temperature-dependent lattice thermal conductivity

../../_images/fig_kappa_vs_grain_size3073.png

(b) Peierls lattice thermal conductivity w.r.t grain size

Phonon lifetime and scattering rates

../../_images/fig_lifetime3005.png

(a) Phonon lifetime due to phonon-phonon scattering

../../_images/fig_scat_rates3004.png

(b) Phonon scattering rates

Cumulative and spectral thermal conductivity

../../_images/fig_cumu_frequency3005.png

(a) Spectral and cumulative thermal conductivity w.r.t frequency

../../_images/fig_cumu_mfp3004.png

(b) Spectral and cumulative thermal conductivity w.r.t MFP

Force constants

../../_images/fig_fc26981.png

(a) Force constants w.r.t atomic distance

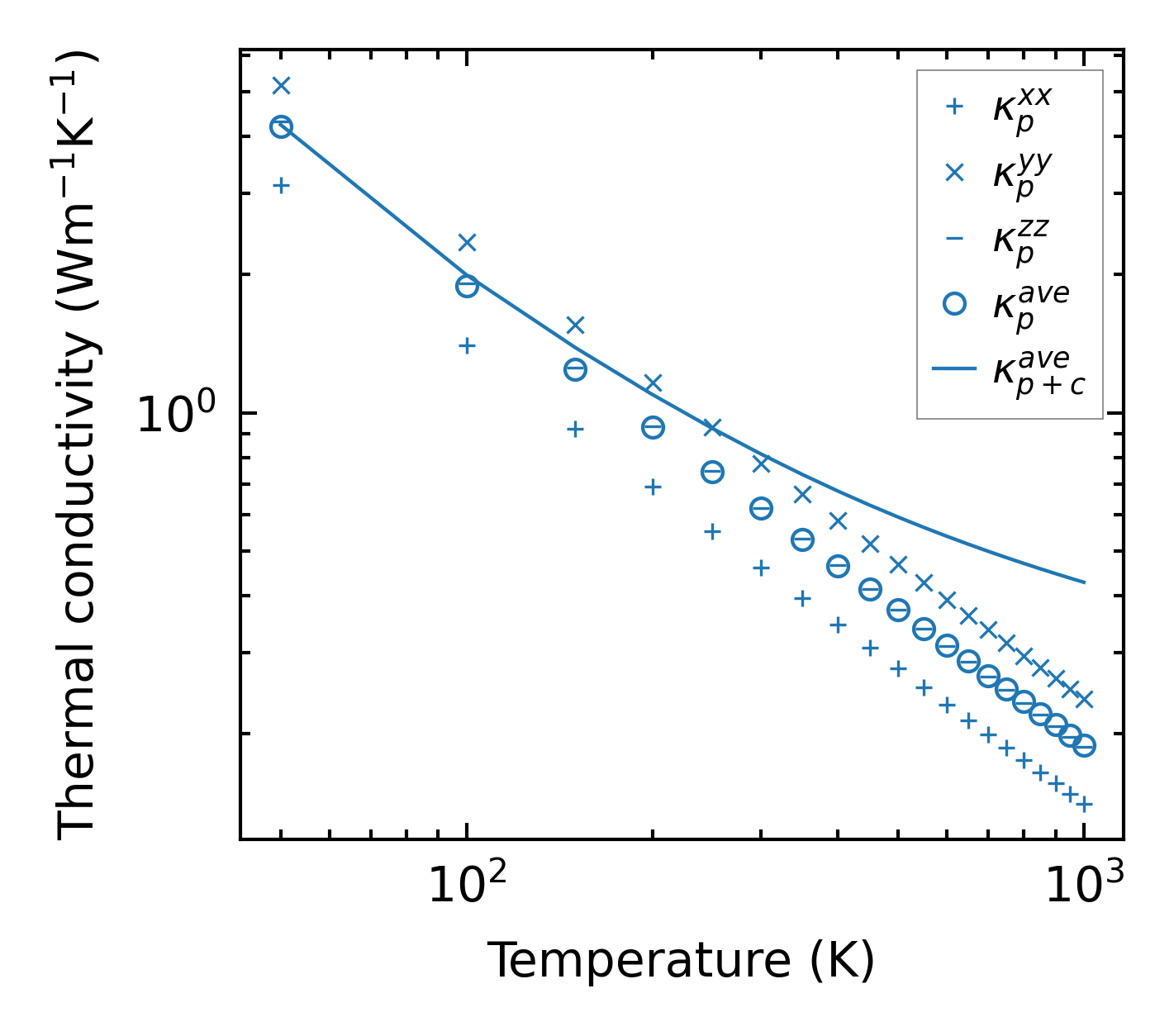
Summary

../../_images/fig_kappa5743.png

(a) Temperature-dependent lattice thermal conductivity

../../_images/fig_times12831.png

(b) Computation time