mp-567503/PbI2/anharm

Harmonic properties

../../_images/fig_bandos_pr7174.png

(a) Phonon dispersion with participation ratio and DOS

../../_images/fig_thermo7174.png

(b) Thermodynamic properties

Grüneisen parameters

../../_images/fig_gru_all3004.png

(a) Grüneisen parameters

../../_images/fig_gruneisen3004.png

(b) Phonon dispersion with Grüneisen parameters

Thermal conductivity

3-phonon — q-mesh: 16x16x5, supercell: 4x4x1

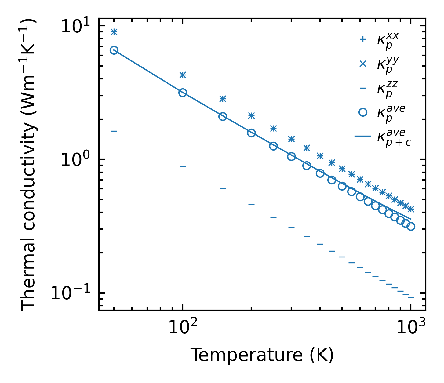
../../_images/fig_kappa5694.png

(a) Temperature-dependent lattice thermal conductivity

../../_images/fig_kappa_vs_grain_size3047.png

(b) Peierls lattice thermal conductivity w.r.t grain size

Phonon lifetime and scattering rates

../../_images/fig_lifetime2979.png

(a) Phonon lifetime due to phonon-phonon scattering

../../_images/fig_scat_rates2978.png

(b) Phonon scattering rates

Cumulative and spectral thermal conductivity

../../_images/fig_cumu_frequency2979.png

(a) Spectral and cumulative thermal conductivity w.r.t frequency

../../_images/fig_cumu_mfp2978.png

(b) Spectral and cumulative thermal conductivity w.r.t MFP

Force constants

../../_images/fig_fc3229.png

(a) Force constants w.r.t atomic distance

Summary

../../_images/fig_kappa5695.png

(a) Temperature-dependent lattice thermal conductivity

../../_images/fig_times12777.png

(b) Computation time