mp-567789/InI3/anharm

Harmonic properties

../../_images/fig_bandos_pr7209.png

(a) Phonon dispersion with participation ratio and DOS

../../_images/fig_thermo7209.png

(b) Thermodynamic properties

Grüneisen parameters

../../_images/fig_gru_all3028.png

(a) Grüneisen parameters

../../_images/fig_gruneisen3028.png

(b) Phonon dispersion with Grüneisen parameters

Thermal conductivity

3-phonon (LASSO) — q-mesh: 7x12x6, supercell: 2x2x2

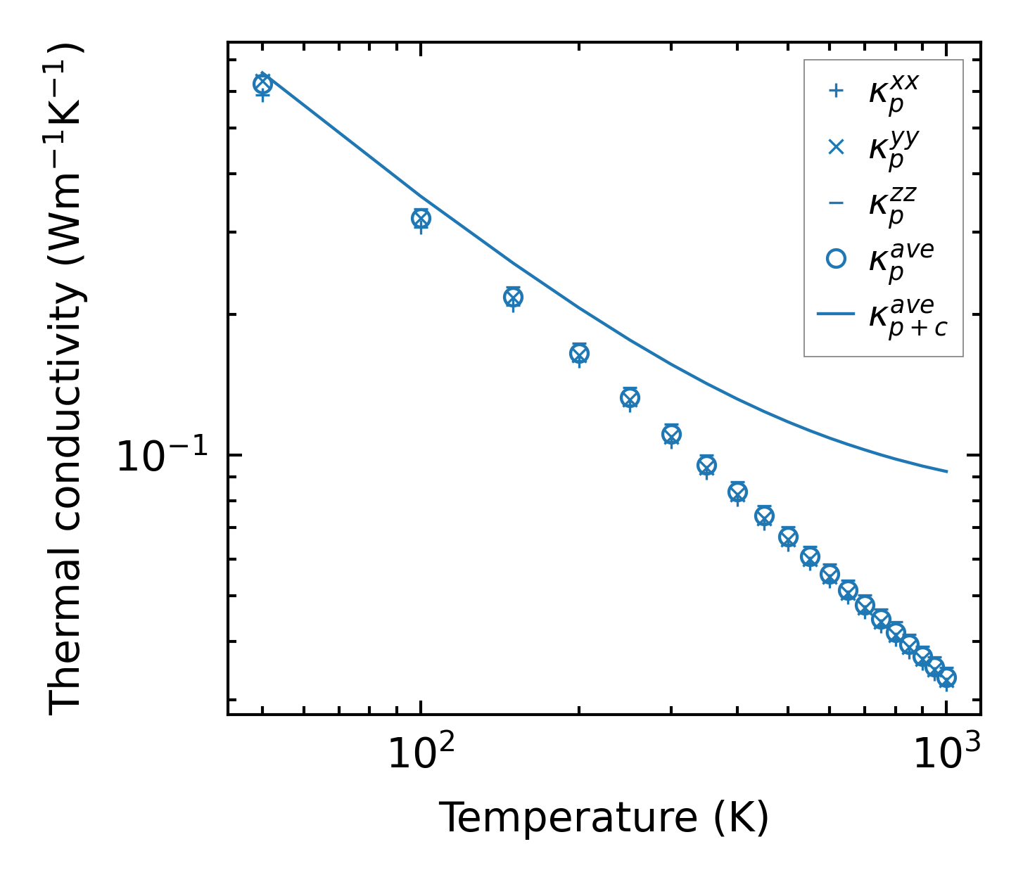
../../_images/fig_kappa5738.png

(a) Temperature-dependent lattice thermal conductivity

../../_images/fig_kappa_vs_grain_size3071.png

(b) Peierls lattice thermal conductivity w.r.t grain size

Phonon lifetime and scattering rates

../../_images/fig_lifetime3003.png

(a) Phonon lifetime due to phonon-phonon scattering

../../_images/fig_scat_rates3002.png

(b) Phonon scattering rates

Cumulative and spectral thermal conductivity

../../_images/fig_cumu_frequency3003.png

(a) Spectral and cumulative thermal conductivity w.r.t frequency

../../_images/fig_cumu_mfp3002.png

(b) Spectral and cumulative thermal conductivity w.r.t MFP

Force constants

../../_images/fig_fc26977.png

(a) Force constants w.r.t atomic distance

Summary

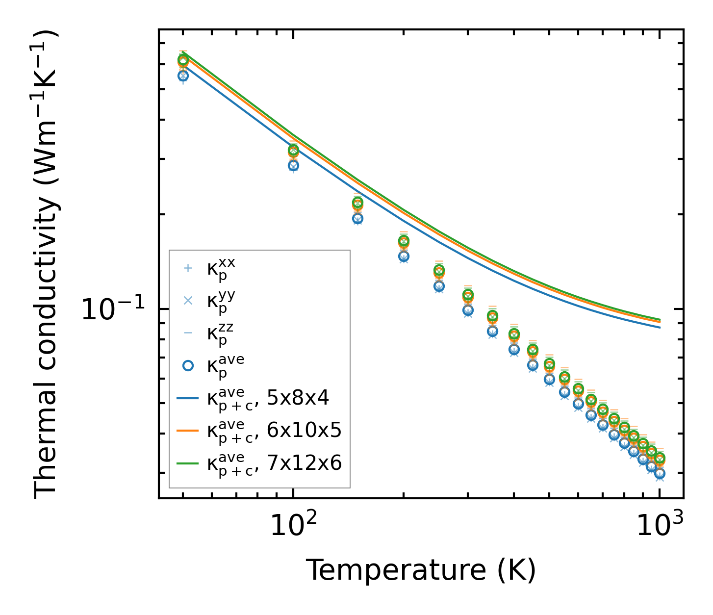
../../_images/fig_kappa5739.png

(a) Temperature-dependent lattice thermal conductivity

../../_images/fig_times12824.png

(b) Computation time