mp-541923/TlCu5Se3/anharm

Harmonic properties

../../_images/fig_bandos_pr9587.png

(a) Phonon dispersion with participation ratio and DOS

../../_images/fig_thermo9587.png

(b) Thermodynamic properties

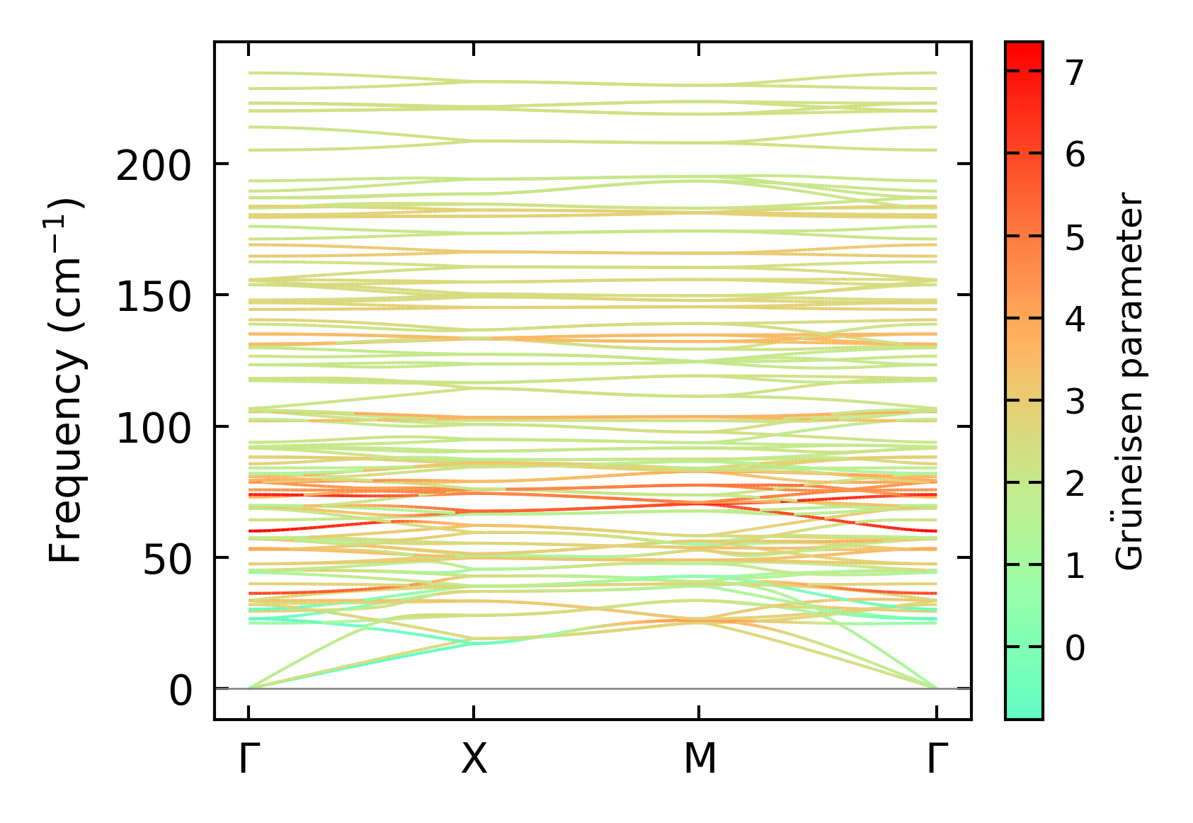
Grüneisen parameters

../../_images/fig_gru_all3832.png

(a) Grüneisen parameters

../../_images/fig_gruneisen3832.png

(b) Phonon dispersion with Grüneisen parameters

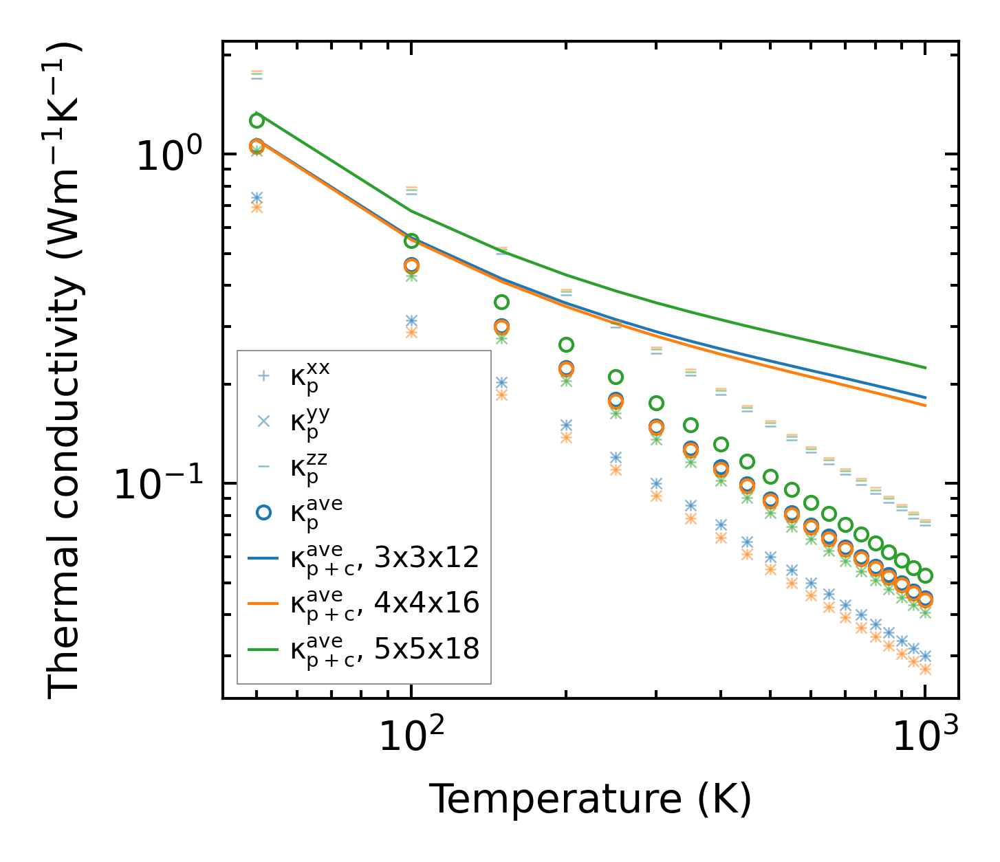
Thermal conductivity

3-phonon (LASSO) — q-mesh: 5x5x18, supercell: 1x1x4

../../_images/fig_kappa7226.png

(a) Temperature-dependent lattice thermal conductivity

../../_images/fig_kappa_vs_grain_size3881.png

(b) Peierls lattice thermal conductivity w.r.t grain size

Phonon lifetime and scattering rates

../../_images/fig_lifetime3797.png

(a) Phonon lifetime due to phonon-phonon scattering

../../_images/fig_scat_rates3796.png

(b) Phonon scattering rates

Cumulative and spectral thermal conductivity

../../_images/fig_cumu_frequency3797.png

(a) Spectral and cumulative thermal conductivity w.r.t frequency

../../_images/fig_cumu_mfp3796.png

(b) Spectral and cumulative thermal conductivity w.r.t MFP

Force constants

../../_images/fig_fc29348.png

(a) Force constants w.r.t atomic distance

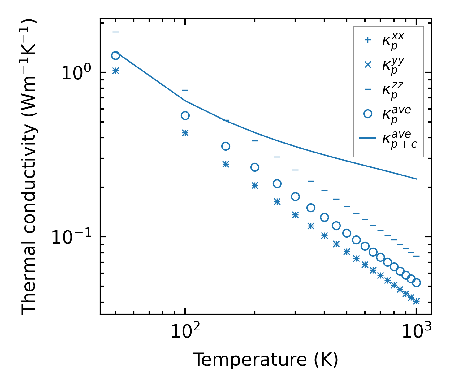
Summary

../../_images/fig_kappa7227.png

(a) Temperature-dependent lattice thermal conductivity

../../_images/fig_times16673.png

(b) Computation time