mp-541813/RbMgF3/anharm

Harmonic properties

../../_images/fig_bandos_pr9565.png

(a) Phonon dispersion with participation ratio and DOS

../../_images/fig_thermo9565.png

(b) Thermodynamic properties

Grüneisen parameters

../../_images/fig_gru_all3819.png

(a) Grüneisen parameters

../../_images/fig_gruneisen3819.png

(b) Phonon dispersion with Grüneisen parameters

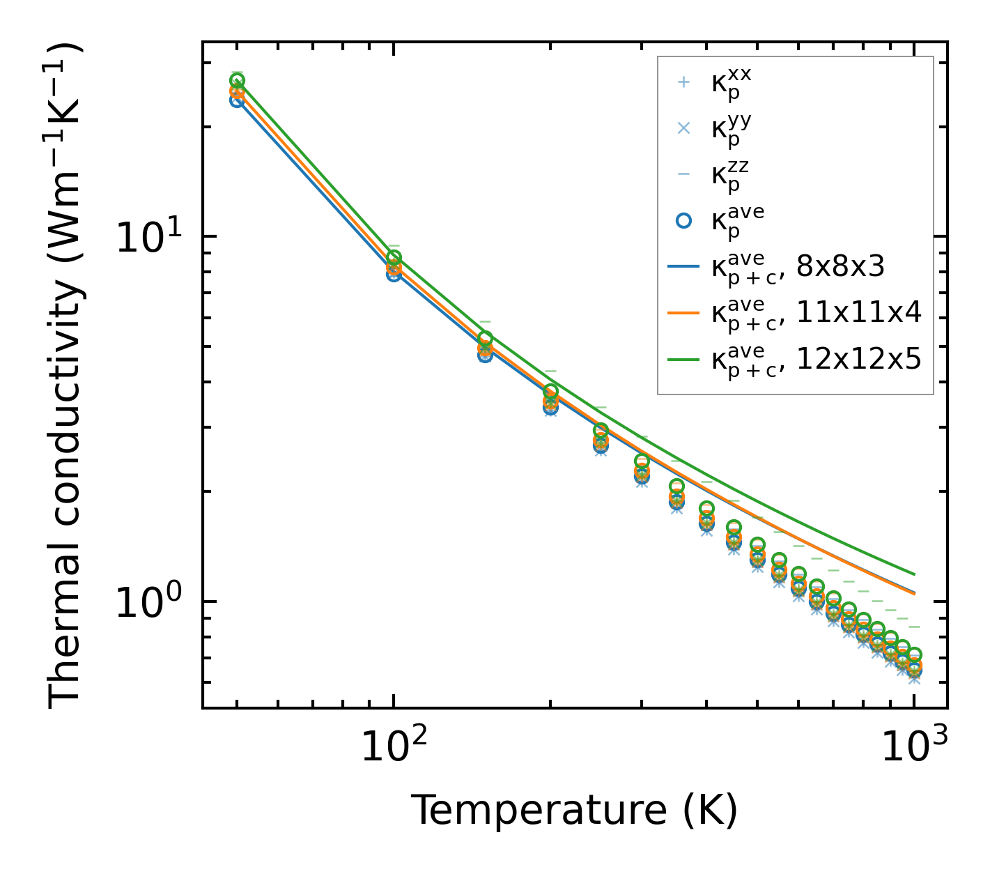
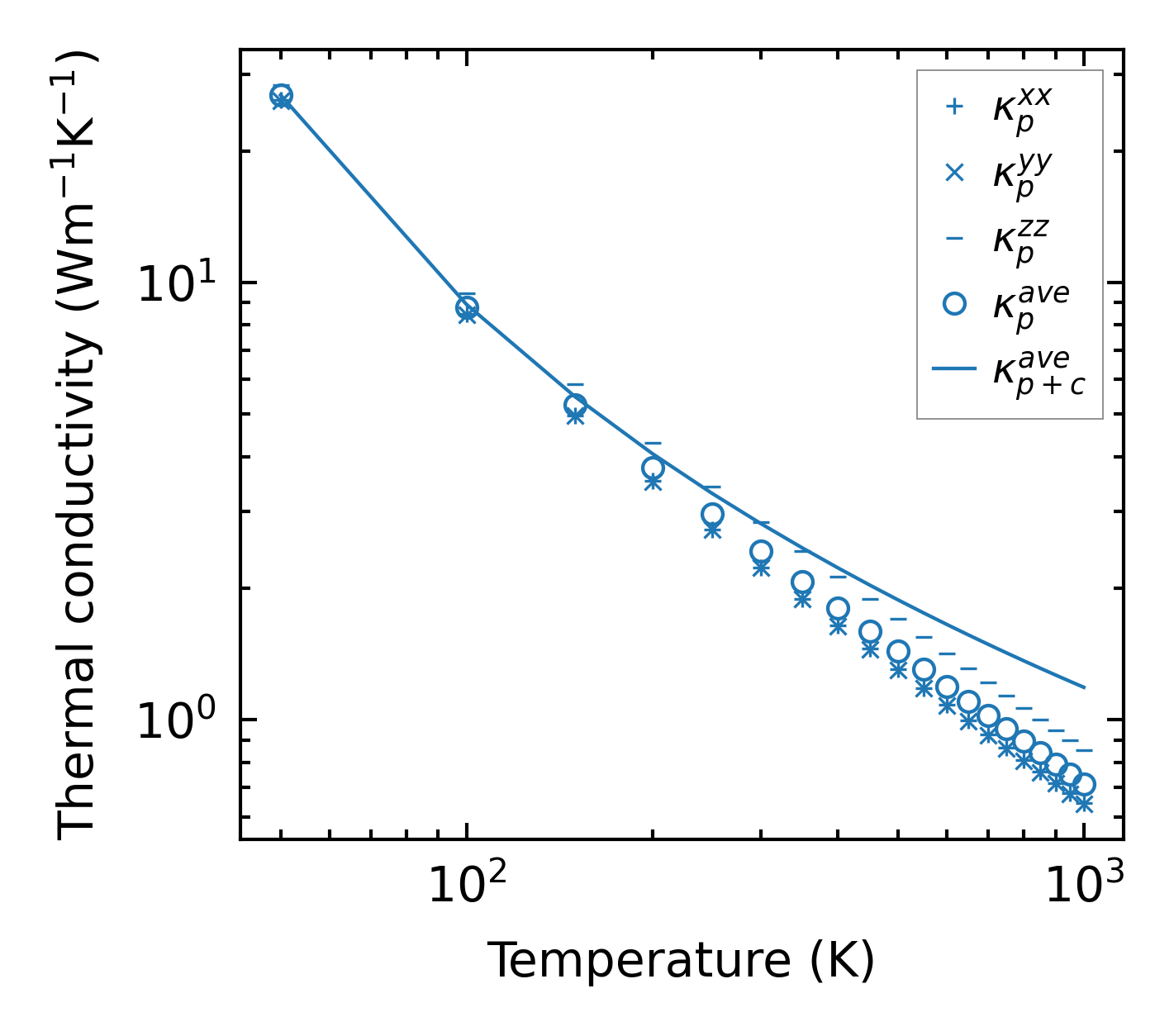
Thermal conductivity

3-phonon (LASSO) — q-mesh: 12x12x5, supercell: 2x2x1

../../_images/fig_kappa7202.png

(a) Temperature-dependent lattice thermal conductivity

../../_images/fig_kappa_vs_grain_size3868.png

(b) Peierls lattice thermal conductivity w.r.t grain size

Phonon lifetime and scattering rates

../../_images/fig_lifetime3784.png

(a) Phonon lifetime due to phonon-phonon scattering

../../_images/fig_scat_rates3783.png

(b) Phonon scattering rates

Cumulative and spectral thermal conductivity

../../_images/fig_cumu_frequency3784.png

(a) Spectral and cumulative thermal conductivity w.r.t frequency

../../_images/fig_cumu_mfp3783.png

(b) Spectral and cumulative thermal conductivity w.r.t MFP

Force constants

../../_images/fig_fc29326.png

(a) Force constants w.r.t atomic distance

Summary

../../_images/fig_kappa7203.png

(a) Temperature-dependent lattice thermal conductivity

../../_images/fig_times16640.png

(b) Computation time