mp-541745/Rb3Nb2S11/anharm

Harmonic properties

../../_images/fig_bandos_pr9557.png

(a) Phonon dispersion with participation ratio and DOS

../../_images/fig_thermo9557.png

(b) Thermodynamic properties

Grüneisen parameters

../../_images/fig_gru_all3813.png

(a) Grüneisen parameters

../../_images/fig_gruneisen3813.png

(b) Phonon dispersion with Grüneisen parameters

Thermal conductivity

3-phonon (LASSO) — q-mesh: 6x9x3, supercell: 1x2x1

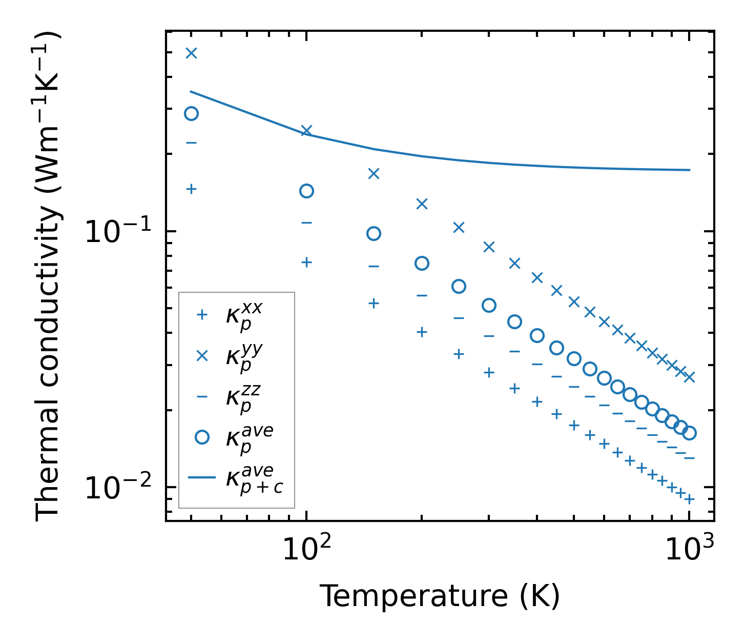
../../_images/fig_kappa7191.png

(a) Temperature-dependent lattice thermal conductivity

../../_images/fig_kappa_vs_grain_size3862.png

(b) Peierls lattice thermal conductivity w.r.t grain size

Phonon lifetime and scattering rates

../../_images/fig_lifetime3778.png

(a) Phonon lifetime due to phonon-phonon scattering

../../_images/fig_scat_rates3777.png

(b) Phonon scattering rates

Cumulative and spectral thermal conductivity

../../_images/fig_cumu_frequency3778.png

(a) Spectral and cumulative thermal conductivity w.r.t frequency

../../_images/fig_cumu_mfp3777.png

(b) Spectral and cumulative thermal conductivity w.r.t MFP

Force constants

../../_images/fig_fc29318.png

(a) Force constants w.r.t atomic distance

Summary

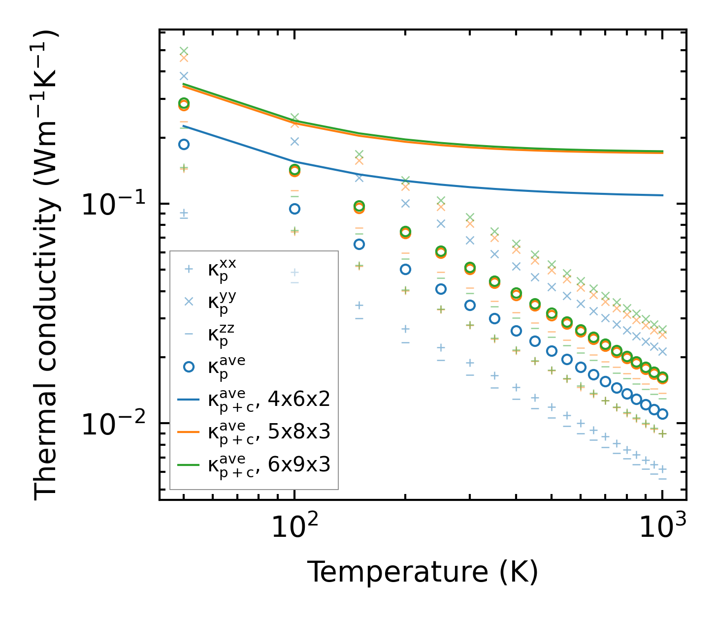
../../_images/fig_kappa7192.png

(a) Temperature-dependent lattice thermal conductivity

../../_images/fig_times16628.png

(b) Computation time