mp-541646/Cs3Ru2Cl9/anharm

Harmonic properties

../../_images/fig_bandos_pr9539.png

(a) Phonon dispersion with participation ratio and DOS

../../_images/fig_thermo9539.png

(b) Thermodynamic properties

Grüneisen parameters

../../_images/fig_gru_all3798.png

(a) Grüneisen parameters

../../_images/fig_gruneisen3798.png

(b) Phonon dispersion with Grüneisen parameters

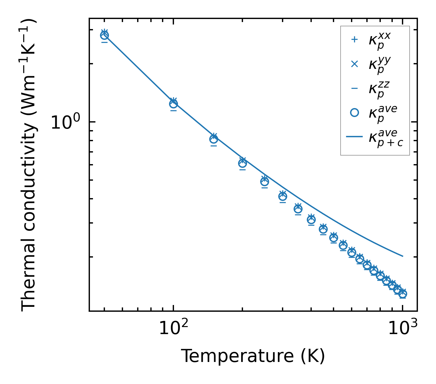
Thermal conductivity

3-phonon (LASSO) — q-mesh: 10x10x4, supercell: 2x2x1

../../_images/fig_kappa7162.png

(a) Temperature-dependent lattice thermal conductivity

../../_images/fig_kappa_vs_grain_size3847.png

(b) Peierls lattice thermal conductivity w.r.t grain size

Phonon lifetime and scattering rates

../../_images/fig_lifetime3763.png

(a) Phonon lifetime due to phonon-phonon scattering

../../_images/fig_scat_rates3762.png

(b) Phonon scattering rates

Cumulative and spectral thermal conductivity

../../_images/fig_cumu_frequency3763.png

(a) Spectral and cumulative thermal conductivity w.r.t frequency

../../_images/fig_cumu_mfp3762.png

(b) Spectral and cumulative thermal conductivity w.r.t MFP

Force constants

../../_images/fig_fc29300.png

(a) Force constants w.r.t atomic distance

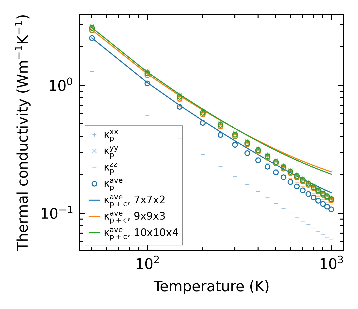
Summary

../../_images/fig_kappa7163.png

(a) Temperature-dependent lattice thermal conductivity

../../_images/fig_times16595.png

(b) Computation time