mp-541765/Ba9Nb2N12/anharm

Harmonic properties

../../_images/fig_bandos_pr9559.png

(a) Phonon dispersion with participation ratio and DOS

../../_images/fig_thermo9559.png

(b) Thermodynamic properties

Grüneisen parameters

../../_images/fig_gru_all3814.png

(a) Grüneisen parameters

../../_images/fig_gruneisen3814.png

(b) Phonon dispersion with Grüneisen parameters

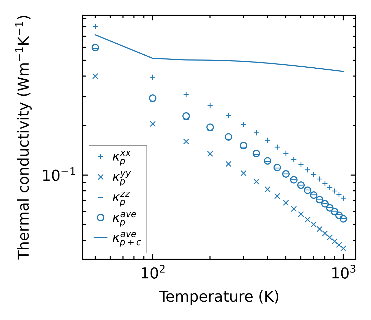
Thermal conductivity

3-phonon (LASSO) — q-mesh: 9x7x5, supercell: 2x1x1

../../_images/fig_kappa7193.png

(a) Temperature-dependent lattice thermal conductivity

../../_images/fig_kappa_vs_grain_size3863.png

(b) Peierls lattice thermal conductivity w.r.t grain size

Phonon lifetime and scattering rates

../../_images/fig_lifetime3779.png

(a) Phonon lifetime due to phonon-phonon scattering

../../_images/fig_scat_rates3778.png

(b) Phonon scattering rates

Cumulative and spectral thermal conductivity

../../_images/fig_cumu_frequency3779.png

(a) Spectral and cumulative thermal conductivity w.r.t frequency

../../_images/fig_cumu_mfp3778.png

(b) Spectral and cumulative thermal conductivity w.r.t MFP

Force constants

../../_images/fig_fc29320.png

(a) Force constants w.r.t atomic distance

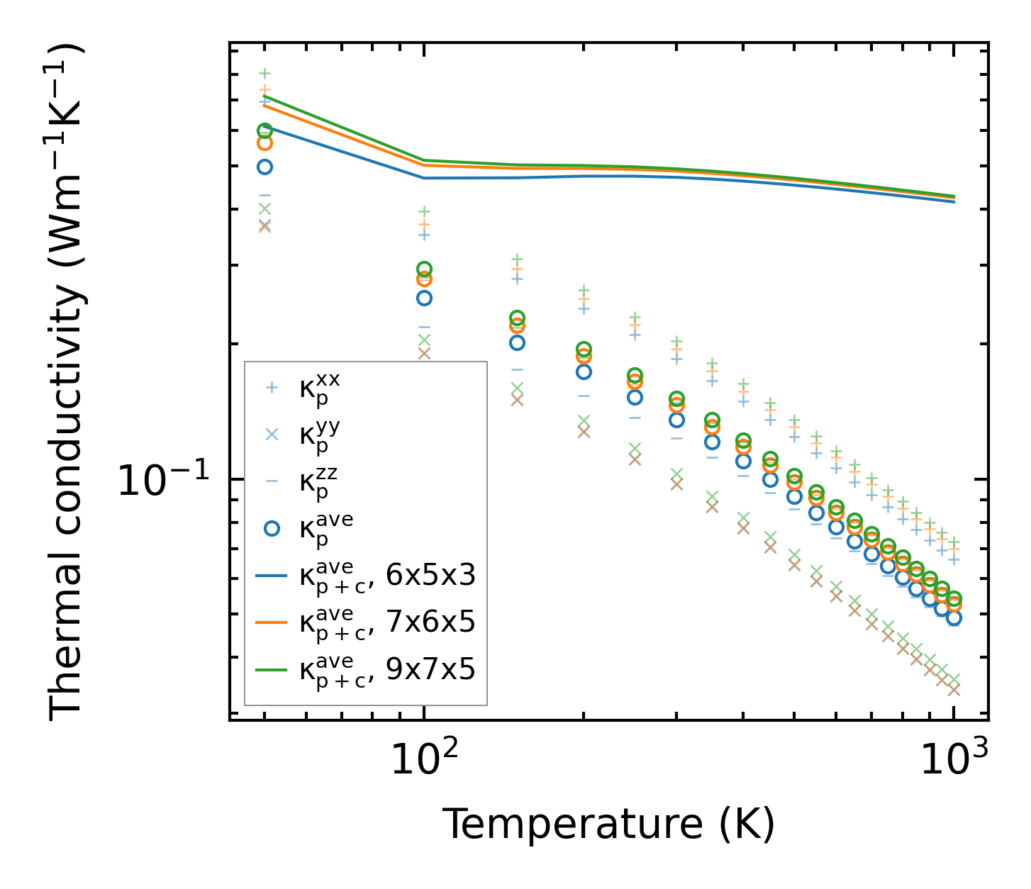
Summary

../../_images/fig_kappa7194.png

(a) Temperature-dependent lattice thermal conductivity

../../_images/fig_times16632.png

(b) Computation time