mp-541742/Cs3Mo2Cl9/anharm

Harmonic properties

../../_images/fig_bandos_pr9556.png

(a) Phonon dispersion with participation ratio and DOS

../../_images/fig_thermo9556.png

(b) Thermodynamic properties

Grüneisen parameters

../../_images/fig_gru_all3812.png

(a) Grüneisen parameters

../../_images/fig_gruneisen3812.png

(b) Phonon dispersion with Grüneisen parameters

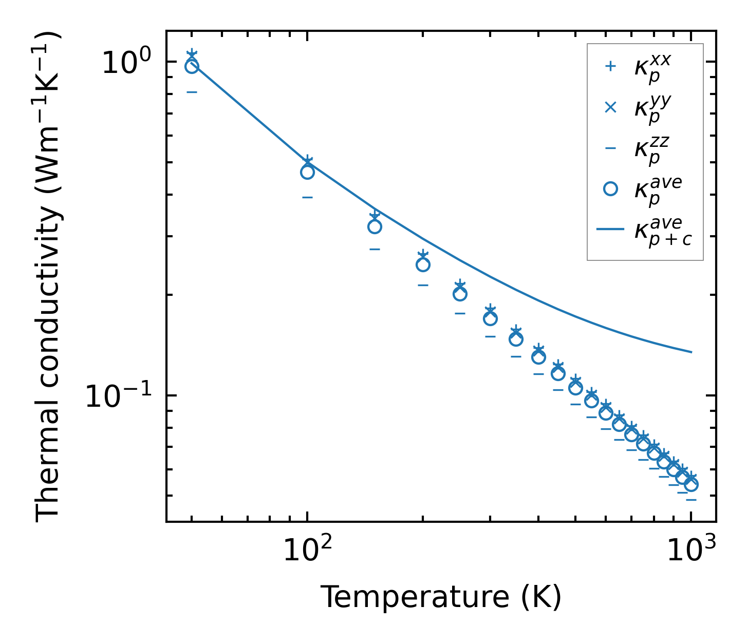
Thermal conductivity

3-phonon (LASSO) — q-mesh: 10x10x4, supercell: 2x2x1

../../_images/fig_kappa7189.png

(a) Temperature-dependent lattice thermal conductivity

../../_images/fig_kappa_vs_grain_size3861.png

(b) Peierls lattice thermal conductivity w.r.t grain size

Phonon lifetime and scattering rates

../../_images/fig_lifetime3777.png

(a) Phonon lifetime due to phonon-phonon scattering

../../_images/fig_scat_rates3776.png

(b) Phonon scattering rates

Cumulative and spectral thermal conductivity

../../_images/fig_cumu_frequency3777.png

(a) Spectral and cumulative thermal conductivity w.r.t frequency

../../_images/fig_cumu_mfp3776.png

(b) Spectral and cumulative thermal conductivity w.r.t MFP

Force constants

../../_images/fig_fc29317.png

(a) Force constants w.r.t atomic distance

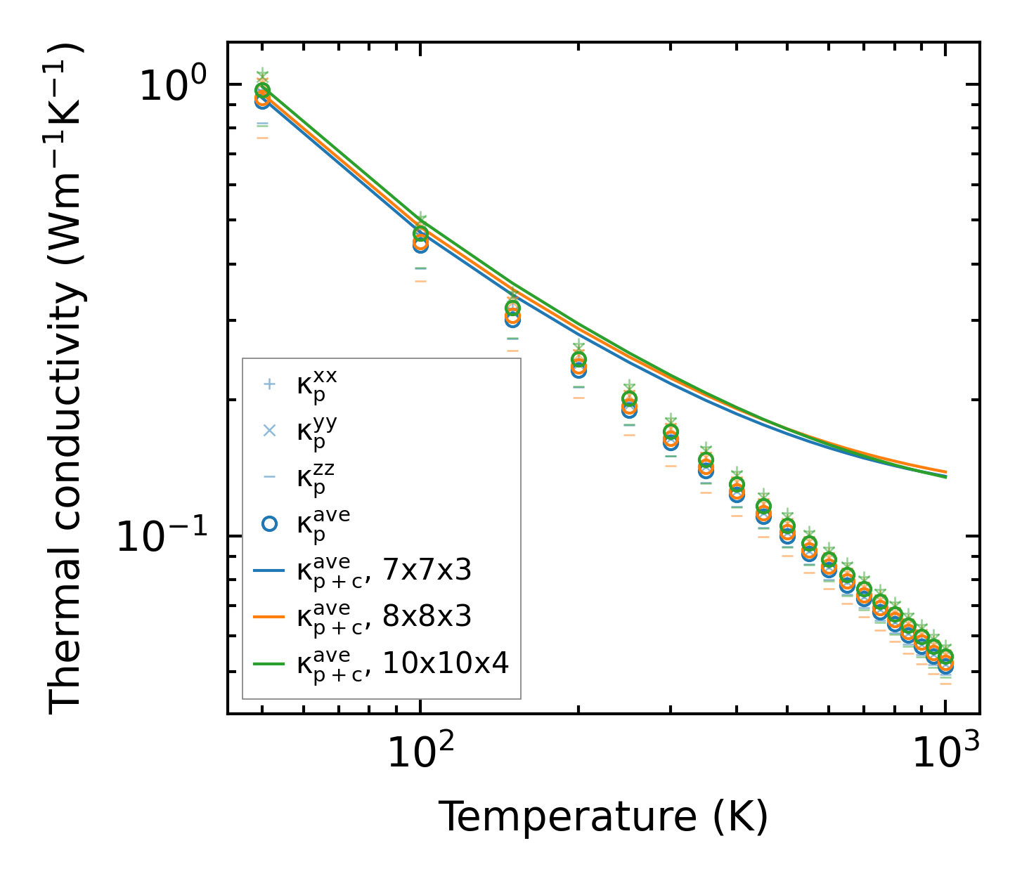
Summary

../../_images/fig_kappa7190.png

(a) Temperature-dependent lattice thermal conductivity

../../_images/fig_times16627.png

(b) Computation time