ver2026.03.28
data_1-1000
data_1001-2000
data_2001-3000
data_3001-4000
data_4001-5000
data_5001-6000
data_6001-7000
data_7001-8000
data_8001-9000
data_9001-10000
data_10001-11000
data_11001-12000
data_12001-13000
data_13001-14000
data_14001-15000
data_15001-16000
data_16001-17000
data_17001-18000
data_18001-19000
data_19001-20000
data_20001-21000
data_21001-22000
data_22001-23000
data_23001-24000
data_24001-25000
data_25001-26000
data_26001-27000
data_27001-28000
data_28001-29000
data_29001-30000
data_30001-31000
data_31001-32000
data_32001-33000
data_33001-34000
data_34001-35000
data_35001-36000
data_36001-37000
data_37001-38000
data_38001-39000
data_39001-40000
data_40001-41000
data_41001-42000
data_42001-43000
data_43001-44000
data_504001-505000
data_505001-506000
data_510001-511000
data_530001-531000
data_531001-532000
data_532001-533000
data_534001-535000
data_540001-541000
data_541001-542000
mp-541001/LiInI4/anharm
mp-541006/BaTlVO4/harm
mp-541013/TiI4/harm
mp-541013-2/TiI4/anharm
mp-541014/Cs3Sb2I9/harm
mp-541014-2/Cs3Sb2I9/harm
mp-541024/CsTmP4H12O18/harm
mp-541032/Te7As5I/harm
mp-541035/CsUN3O11/harm
mp-541035-2/CsUN3O11/harm
mp-541037/CsCuO/harm
mp-541037-2/CsCuO/anharm
mp-541040/Y2Be2GeO7/harm
mp-541041/NdAgP4O12/harm
mp-541041-2/NdAgP4O12/harm
mp-541044/CsYO2/anharm
mp-541044-2/CsYO2/anharm
mp-541053/SiI2/harm
mp-541055/Cs2Se5/harm
mp-541055-2/Cs2Se5/harm
mp-541057/Rb4Re6S13/harm
mp-541057-2/Rb4Re6S13/harm
mp-541060/K2Re3Se6/anharm
mp-541073/SmSI/harm
mp-541081/NaMg2H3S2O8/harm
mp-541081-2/NaMg2H3S2O8/harm
mp-541083/KPH5C2S2N3O3/harm
mp-541090/CeSe2O6/harm
mp-541096/CsUNbO6/harm
mp-541097/Zr3PbO4F6/anharm
mp-541101/HoH18C3S3O18F9/harm
mp-541106/Nb2Se9/harm
mp-541108/Cd2SiP4O14/harm
mp-541111/AlGaCl4/harm
mp-541112/ZrI4/harm
mp-541113/Cs3P7/harm
mp-541113-2/Cs3P7/harm
mp-541114/Sr2RhF7/harm
mp-541114-2/Sr2RhF7/anharm
mp-541134/TeAuBr8/harm
mp-541141/K3IrCl6/anharm
mp-541148/KUVO6/harm
mp-541155/VS4/harm
mp-541155-2/VS4/harm
mp-541158/Nb3SI7/anharm
mp-541162/Ba2Mg3F10/harm
mp-541162-2/Ba2Mg3F10/harm
mp-541190/Cs2LiVO4/harm
mp-541193/Hg7Cl2O3/harm
mp-541193-2/Hg7Cl2O3/harm
mp-541204/As2S3N2F12/harm
mp-541211/KLaCr2O8/harm
mp-541214/KS2O3/harm
mp-541220/NaMg4V3O12/harm
mp-541221/BaH2N2O5/harm
mp-541226/CsBrF6/harm
mp-541226-2/CsBrF6/harm
mp-541236/Na5HfAs3/anharm
mp-541238/KTi2P3O12/harm
mp-541238-2/KTi2P3O12/anharm
mp-541240/Sb3O2F5/harm
mp-541240-2/Sb3O2F5/harm
mp-541256/K2ThMo3O12/harm
mp-541272/LiGe2P3O12/harm
mp-541272-2/LiGe2P3O12/anharm
mp-541275/Cs2UCl4O2/harm
mp-541280/BaLaGaO4/harm
mp-541280-2/BaLaGaO4/anharm
mp-541281/BaNdGaO4/harm
mp-541281-2/BaNdGaO4/anharm
mp-541282/KZr2As3O12/harm
mp-541282-2/KZr2As3O12/anharm
mp-541283/InGaBr4/harm
mp-541283-2/InGaBr4/harm
mp-541289/Y2S3/harm
mp-541289-2/Y2S3/harm
mp-541298/KHfH2OF5/harm
mp-541299/Zr4CdP6O24/harm
mp-541299-2/Zr4CdP6O24/anharm
mp-541312/Ge3Te6As2/harm
mp-541335/As2Se2SN2F12/harm
mp-541339/SrH9ClO5/harm
mp-541352/P4S3I2/harm
mp-541361/K2RuNCl5O/harm
mp-541361-2/K2RuNCl5O/harm
mp-541367/SrCdP4O12/harm
mp-541368/Tl4V2O7/harm
mp-541378/CsBiS2/harm
mp-541378-2/CsBiS2/harm
mp-541379/KSnS4/harm
mp-541379-2/KSnS4/anharm
mp-541380/RbSnS4/harm
mp-541380-2/RbSnS4/anharm
mp-541393/K3NaRe2O9/harm
mp-541393-2/K3NaRe2O9/harm
mp-541403/Hg7P4Br6/harm
mp-541403-2/Hg7P4Br6/harm
mp-541415/KH5S2O9/harm
mp-541430/BaLaCuSe3/anharm
mp-541431/Ca2SiH2O5/anharm
mp-541433/CdBi2O4/harm
mp-541433-2/CdBi2O4/anharm
mp-541450/In2S3O12/harm
mp-541450-2/In2S3O12/harm
mp-541451/Ga2S3O12/anharm
mp-541459/KSnPO5/harm
mp-541459-2/KSnPO5/harm
mp-541462/SrTa4O11/harm
mp-541462-2/SrTa4O11/harm
mp-541483/Rb3ScH6O6/harm
mp-541483-2/Rb3ScH6O6/harm
mp-541487/TlPt2Se3/anharm
mp-541487-2/TlPt2Se3/anharm
mp-541493/UV2O8/harm
mp-541495/KYP4O12/harm
mp-541495-2/KYP4O12/harm
mp-541508/KVPbO4/harm
mp-541509/Ta2Ni3Se8/anharm
mp-541509-2/Ta2Ni3Se8/anharm
mp-541509-3/Ta2Ni3Se8/anharm
mp-541520/KV3Se2O12/harm
mp-541522/Na2CaP4O12/harm
mp-541522-2/Na2CaP4O12/harm
mp-541566/K2MgB12H20O30/harm
mp-541568/Sr2Li3NbN4/anharm
mp-541569/Sr2Li3TaN4/anharm
mp-541569-2/Sr2Li3TaN4/anharm
mp-541570/SrZrSe3/anharm
mp-541578/Li4Mo5O17/harm
mp-541581/KSO3/harm
mp-541582/ReSe2/anharm
mp-541593/ZrPb2F8/harm
mp-541593-2/ZrPb2F8/harm
mp-541600/RbLaTa2O7/harm
mp-541600-2/RbLaTa2O7/harm
mp-541601/KPrP4O12/harm
mp-541601-2/KPrP4O12/harm
mp-541610/GeBr2/harm
mp-541619/Na2TeO3/anharm
mp-541622/KCu3Te2/harm
mp-541622-2/KCu3Te2/harm
mp-541626/K3Nb3Ge2O13/harm
mp-541626-2/K3Nb3Ge2O13/harm
mp-541628/CsTeF5/harm
mp-541628-2/CsTeF5/anharm
mp-541629/BaGaF5/harm
mp-541629-2/BaGaF5/harm
mp-541638/K2Re3S6/anharm
mp-541646/Cs3Ru2Cl9/anharm
mp-541646-2/Cs3Ru2Cl9/anharm
mp-541656/AuCl2/harm
mp-541661/LiZr2P3O12/harm
mp-541661-2/LiZr2P3O12/harm
mp-541667/NbSe2Br2/anharm
mp-541668/SbP2O7/harm
mp-541677/Cd2AsO4F/anharm
mp-541682/K3AlAs2/harm
mp-541684/K3AlP2/harm
mp-541686/K3GaS3/harm
mp-541686-2/K3GaS3/anharm
mp-541687/K3GaSe3/harm
mp-541687-2/K3GaSe3/anharm
mp-541688/K3GaTe3/harm
mp-541688-2/K3GaTe3/harm
mp-541692/Na2In2Sb3/anharm
mp-541694/K2Na3SiP3/anharm
mp-541695/WC6O6/harm
mp-541696/Cs2TlCl5/harm
mp-541696-2/Cs2TlCl5/anharm
mp-541707/K6Na3AlSb4/anharm
mp-541708/VCdAgO4/harm
mp-541709/Nb3Tl2Br9/harm
mp-541709-2/Nb3Tl2Br9/anharm
mp-541715/Ba3GaP3/anharm
mp-541722/CsBa2Br5/harm
mp-541722-2/CsBa2Br5/harm
mp-541732/Al3Pb5F19/harm
mp-541732-2/Al3Pb5F19/harm
mp-541735/K4Ti3S14/anharm
mp-541738/Cs3Cr2I9/anharm
mp-541742/Cs3Mo2Cl9/anharm
mp-541745/Rb3Nb2S11/anharm
mp-541747/MgGeH12O6F6/harm
mp-541758/Ta2Se17Br12/harm
mp-541761/Zn3As2H16O16/harm
mp-541765/Ba9Nb2N12/anharm
mp-541771/Bi4RuI2/harm
mp-541771-2/Bi4RuI2/anharm
mp-541772/Bi4RuBr2/harm
mp-541772-2/Bi4RuBr2/harm
mp-541785/GePdS3/anharm
mp-541811/Cs6K3GaSb4/anharm
mp-541811-2/Cs6K3GaSb4/anharm
mp-541813/RbMgF3/anharm
mp-541817/NbSeI3/harm
mp-541817-2/NbSeI3/harm
mp-541818/Rb4B9Se9/harm
mp-541819/Rb2HgB9Se9/anharm
mp-541819-2/Rb2HgB9Se9/anharm
mp-541819-3/Rb2HgB9Se9/anharm
mp-541827/Ba2Zn7F18/harm
mp-541832/Ba2SnS4/anharm
mp-541837/Bi2Se3/harm
mp-541837-2/Bi2Se3/harm
mp-541846/P4O9/harm
mp-541870/KAl2P2H5O11/anharm
mp-541875/K3SnSe3/anharm
mp-541877/TaTeCl9/harm
mp-541895/Na2Re3S6/anharm
mp-541897/Rb2CdP2Se6/anharm
mp-541899/CsCdBr3/harm
mp-541899-2/CsCdBr3/harm
mp-541900/AlH15N6F6/harm
mp-541908/KSbF6/harm
mp-541908-2/KSbF6/harm
mp-541910/SrMo2As2O12/harm
mp-541911/HfNCl/harm
mp-541911-2/HfNCl/harm
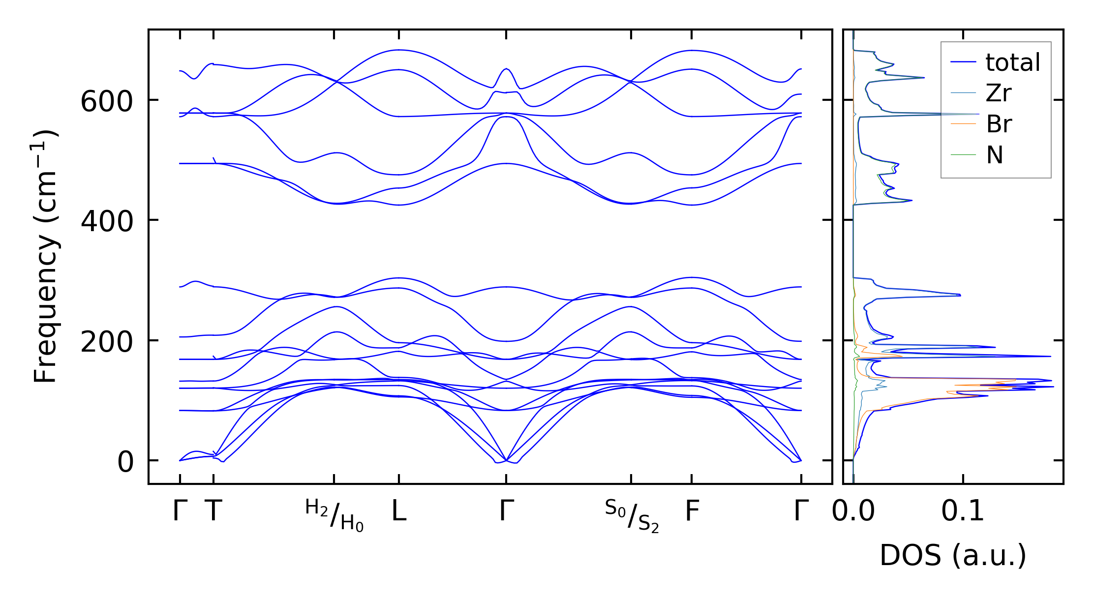
mp-541912/ZrBrN/harm
Harmonic properties
Summary
mp-541912-2/ZrBrN/anharm
mp-541915/K2AgAs3Se6/anharm
mp-541915-2/K2AgAs3Se6/anharm
mp-541916/Rb2AgAs3Se6/harm
mp-541916-2/Rb2AgAs3Se6/anharm
mp-541917/Na2Te4WO12/harm
mp-541918/Na2Te4MoO12/harm
mp-541923/TlCu5Se3/anharm
mp-541928/Sm3Re2O9/anharm
mp-541928-2/Sm3Re2O9/anharm
mp-541932/H13S2N3O8/harm
mp-541933/CrHg5S2O5/harm
mp-541937/ZnIn2S4/harm
mp-541946/K2ThP3Se9/harm
mp-541947/Rb2ThP3Se9/harm
mp-541950/GaN5O14/harm
mp-541953/Rb4Zr3Te16/harm
mp-541953-2/Rb4Zr3Te16/harm
mp-541956/CsTiAsO5/harm
mp-541956-2/CsTiAsO5/harm
mp-541966/KAgCO3/harm
mp-541966-2/KAgCO3/anharm
mp-541975/Rb3Ta2S11/harm
mp-541989/Na2CN2/harm
mp-541989-2/Na2CN2/harm
mp-541995/LaSiO3F/anharm
mp-541996/Pr2SiTeO4/harm
mp-541996-2/Pr2SiTeO4/harm
data_542001-543000
data_543001-544000
data_545001-546000
data_546001-547000
data_547001-548000
data_548001-549000
data_549001-550000
data_550001-551000
data_551001-552000
data_552001-553000
data_553001-554000
data_554001-555000
data_555001-556000
data_556001-557000
data_557001-558000
data_558001-559000
data_559001-560000
data_560001-561000
data_561001-562000
data_562001-563000
data_563001-564000
data_565001-566000
data_566001-567000
data_567001-568000
data_568001-569000
data_569001-570000
data_570001-571000
data_571001-572000
data_572001-573000
data_573001-574000
data_574001-575000
data_578001-579000
data_579001-580000
data_580001-581000
data_581001-582000
data_582001-583000
data_583001-584000
data_584001-585000
data_585001-586000
data_600001-601000
data_601001-602000
data_603001-604000
data_604001-605000
data_605001-606000
data_606001-607000
data_607001-608000
data_608001-609000
data_609001-610000
data_610001-611000
data_611001-612000
data_612001-613000
data_613001-614000
data_614001-615000
data_615001-616000
data_616001-617000
data_617001-618000
data_618001-619000
data_619001-620000
data_620001-621000
data_621001-622000
data_622001-623000
data_623001-624000
data_624001-625000
data_625001-626000
data_626001-627000
data_627001-628000
data_628001-629000
data_629001-630000
data_630001-631000
data_631001-632000
data_632001-633000
data_633001-634000
data_634001-635000
data_635001-636000
data_636001-637000
data_637001-638000
data_638001-639000
data_639001-640000
data_640001-641000
data_641001-642000
data_642001-643000
data_643001-644000
data_644001-645000
data_645001-646000
data_646001-647000
data_647001-648000
data_648001-649000
data_649001-650000
data_650001-651000
data_651001-652000
data_652001-653000
data_653001-654000
data_654001-655000
data_655001-656000
data_656001-657000
data_657001-658000
data_662001-663000
data_665001-666000
data_667001-668000
data_669001-670000
data_672001-673000
data_673001-674000
data_674001-675000
data_675001-676000
data_676001-677000
data_677001-678000
data_679001-680000
data_680001-681000
data_681001-682000
data_682001-683000
data_683001-684000
data_684001-685000
data_685001-686000
data_686001-687000
data_687001-688000
data_689001-690000
data_690001-691000
data_691001-692000
data_693001-694000
data_694001-695000
data_695001-696000
data_696001-697000
data_697001-698000
data_698001-699000
data_699001-700000
data_703001-704000
data_704001-705000
data_705001-706000
data_706001-707000
data_707001-708000
data_708001-709000
data_709001-710000
data_714001-715000
data_715001-716000
data_720001-721000
data_721001-722000
data_722001-723000
data_723001-724000
data_724001-725000
data_725001-726000
data_726001-727000
data_727001-728000
data_728001-729000
data_729001-730000
data_730001-731000
data_731001-732000
data_732001-733000
data_733001-734000
data_734001-735000
data_735001-736000
data_736001-737000
data_738001-739000
data_740001-741000
data_741001-742000
data_743001-744000
data_744001-745000
data_746001-747000
data_752001-753000
data_753001-754000
data_754001-755000
data_755001-756000
data_756001-757000
data_757001-758000
data_758001-759000
data_759001-760000
data_760001-761000
data_761001-762000
data_762001-763000
data_763001-764000
data_764001-765000
data_765001-766000
data_766001-767000
data_767001-768000
data_768001-769000
data_769001-770000
data_770001-771000
data_771001-772000
data_772001-773000
data_773001-774000
data_774001-775000
data_775001-776000
data_776001-777000
data_777001-778000
data_778001-779000
data_779001-780000
data_780001-781000
data_781001-782000
data_782001-783000
data_796001-797000
data_801001-802000
data_818001-819000
data_825001-826000
data_826001-827000
data_831001-832000
data_836001-837000
data_849001-850000
data_850001-851000
data_851001-852000
data_857001-858000
data_859001-860000
data_860001-861000
data_861001-862000
data_862001-863000
data_863001-864000
data_864001-865000
data_865001-866000
data_866001-867000
data_867001-868000
data_924001-925000
data_935001-936000
data_936001-937000
data_937001-938000
data_941001-942000
data_945001-946000
data_949001-950000
data_950001-951000
data_961001-962000
data_962001-963000
data_966001-967000
data_971001-972000
data_972001-973000
data_973001-974000
data_974001-975000
data_975001-976000
data_976001-977000
data_977001-978000
data_978001-979000
data_979001-980000
data_980001-981000
data_981001-982000
data_982001-983000
data_983001-984000
data_984001-985000
data_985001-986000
data_986001-987000
data_988001-989000
data_989001-990000
data_990001-991000
data_991001-992000
data_992001-993000
data_995001-996000
data_996001-997000
data_997001-998000
data_998001-999000
data_999001-1000000
data_1001001-1002000
data_1002001-1003000
data_1004001-1005000
data_1005001-1006000
data_1006001-1007000
data_1007001-1008000
data_1008001-1009000
data_1009001-1010000
data_1011001-1012000
data_1012001-1013000
data_1013001-1014000
data_1014001-1015000
data_1016001-1017000
data_1017001-1018000
data_1018001-1019000
data_1019001-1020000
data_1020001-1021000
data_1021001-1022000
data_1022001-1023000
data_1023001-1024000
data_1025001-1026000
data_1026001-1027000
data_1029001-1030000
data_1030001-1031000
data_1040001-1041000
data_1041001-1042000
data_1042001-1043000
data_1043001-1044000
data_1044001-1045000
data_1045001-1046000
data_1046001-1047000
data_1047001-1048000
data_1048001-1049000
data_1049001-1050000
data_1056001-1057000
data_1057001-1058000
data_1060001-1061000
data_1062001-1063000
data_1063001-1064000
data_1064001-1065000
data_1065001-1066000
data_1066001-1067000
data_1067001-1068000
data_1068001-1069000
data_1069001-1070000
data_1070001-1071000
data_1071001-1072000
data_1072001-1073000
data_1075001-1076000
data_1076001-1077000
data_1077001-1078000
data_1078001-1079000
data_1079001-1080000
data_1080001-1081000
data_1084001-1085000
data_1086001-1087000
data_1087001-1088000
data_1091001-1092000
data_1092001-1093000
data_1093001-1094000
data_1094001-1095000
data_1095001-1096000
data_1096001-1097000
data_1097001-1098000
data_1098001-1099000
data_1099001-1100000
data_1100001-1101000
data_1101001-1102000
data_1102001-1103000
data_1103001-1104000
data_1104001-1105000
data_1105001-1106000
data_1106001-1107000
data_1110001-1111000
data_1111001-1112000
data_1112001-1113000
data_1113001-1114000
data_1114001-1115000
data_1119001-1120000
data_1120001-1121000
data_1147001-1148000
data_1153001-1154000
data_1172001-1173000
data_1173001-1174000
data_1176001-1177000
data_1178001-1179000
data_1179001-1180000
data_1180001-1181000
data_1181001-1182000
data_1182001-1183000
data_1183001-1184000
data_1184001-1185000
data_1185001-1186000
data_1186001-1187000
data_1187001-1188000
data_1188001-1189000
data_1189001-1190000
data_1190001-1191000
data_1191001-1192000
data_1192001-1193000
data_1193001-1194000
data_1194001-1195000
data_1195001-1196000
data_1196001-1197000
data_1197001-1198000
data_1198001-1199000
data_1199001-1200000
data_1200001-1201000
data_1201001-1202000
data_1202001-1203000
data_1203001-1204000
data_1204001-1205000
data_1205001-1206000
data_1206001-1207000
data_1207001-1208000
data_1208001-1209000
data_1209001-1210000
data_1210001-1211000
data_1211001-1212000
data_1212001-1213000
data_1213001-1214000
data_1214001-1215000
data_1215001-1216000
data_1216001-1217000
data_1217001-1218000
data_1218001-1219000
data_1219001-1220000
data_1220001-1221000
data_1221001-1222000
data_1222001-1223000
data_1223001-1224000
data_1224001-1225000
data_1225001-1226000
data_1226001-1227000
data_1227001-1228000
data_1228001-1229000
data_1229001-1230000
data_1232001-1233000
data_1237001-1238000
data_1238001-1239000
data_1239001-1240000
data_1253001-1254000
data_1300001-1301000
data_1323001-1324000
data_1370001-1371000
data_1382001-1383000
data_1383001-1384000
data_1386001-1387000
data_1387001-1388000
data_1388001-1389000
data_1389001-1390000
data_1390001-1391000
data_1391001-1392000
data_1392001-1393000
data_1393001-1394000
data_1394001-1395000
data_1396001-1397000
data_1397001-1398000
data_1398001-1399000
data_1399001-1400000
data_1400001-1401000
data_1401001-1402000
data_1403001-1404000
data_1404001-1405000
data_1405001-1406000
data_1408001-1409000
data_1411001-1412000
data_1413001-1414000
data_1417001-1418000
data_1419001-1420000
data_1420001-1421000
data_1423001-1424000
data_1426001-1427000
data_1428001-1429000
data_1429001-1430000
data_1435001-1436000
data_1440001-1441000
data_1443001-1444000
data_1445001-1446000
Phonix database
ver2026.03.28
data_541001-542000
mp-541912/ZrBrN/harm
mp-541912/ZrBrN/harm
Space group:
R-3m (166)
Link:
Materials Project
Download:
mp-541912.tar.gz
Harmonic properties
(a) Phonon dispersion and DOS
Summary
(a) Computation time