mp-541114-2/Sr2RhF7/anharm

Equation of state

../../_images/fig_bm4734.png

(a) Equation of state

Harmonic properties

../../_images/fig_bandos_pr9477.png

(a) Phonon dispersion with participation ratio and DOS

../../_images/fig_bandos13260.png

(b) Phonon dispersion and DOS

../../_images/fig_thermo9477.png

(c) Thermodynamic properties

Grüneisen parameters

../../_images/fig_gru_all3769.png

(a) Grüneisen parameters

../../_images/fig_gruneisen3769.png

(b) Phonon dispersion with Grüneisen parameters

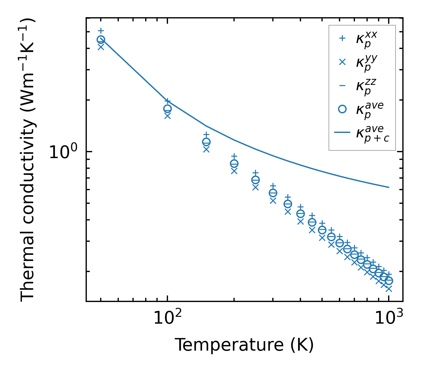
Thermal conductivity

3-phonon (LASSO), supercell 2x1x2 — q-mesh: 13x6x8, supercell: 2x1x2

../../_images/fig_kappa7115.png

(a) Temperature-dependent lattice thermal conductivity

../../_images/fig_kappa_vs_grain_size3818.png

(b) Peierls lattice thermal conductivity w.r.t grain size

Phonon lifetime and scattering rates

../../_images/fig_lifetime3734.png

(a) Phonon lifetime due to phonon-phonon scattering

../../_images/fig_scat_rates3733.png

(b) Phonon scattering rates

Cumulative and spectral thermal conductivity

../../_images/fig_cumu_frequency3734.png

(a) Spectral and cumulative thermal conductivity w.r.t frequency

../../_images/fig_cumu_mfp3733.png

(b) Spectral and cumulative thermal conductivity w.r.t MFP

Force constants

../../_images/fig_fc29238.png

(a) Force constants w.r.t atomic distance

Summary

../../_images/fig_times16485.png

(a) Computation time